题目列表(包括答案和解析)

 0  120961  120969  120975  120979  120985  120987  120991  120997  120999  121005  121011  121015  121017  121021  121027  121029  121035  121039  121041  121045  121047  121051  121053  121055  121056  121057  121059  121060  121061  121063  121065  121069  121071  121075  121077  121081  121087  121089  121095  121099  121101  121105  121111  121117  121119  121125  121129  121131  121137  121141  121147  121155  447348 

19.发射通信卫星的常用的方法是:先用火箭将卫星送入一级近地轨道运行,然后再适时开动运载火箭,经过过渡轨道将其送入与地球自转同步的运行轨道,那么变轨后和变轨前相比                        (   )

    A.机械能增大,动能减小            B.机械能减小,动能增大

    C.机械能增大,动能增大            D.机械能减小,动能减小

试题详情

18.如果你用心看书,就会发现机械波与电磁波有许多可比之处,某同学对此做了一番比较,得到如下结论,你认为错误的是                                             (   )

    A.机械波可能是纵波,也可能是横波,电磁波一定是横波

    B.机械波的传播依赖于介质,而电磁波可以在真空中传播

    C.机械波电磁波都能产生反射、折射、干涉、衍射现象

    D.当机械波或电磁波从空气进入水中时,频率不变,波长和波速都变小

试题详情

17.如图所示,为四个实验的示意图,科学家在哪个实验的基础上提出了原子的核式结构模型             (   )

试题详情

16.水压机是利用水产生的压力顶起重物的。水压机工作时水分子间           (   )

    A.只有斥力                      B.只有引力

    C.既有引力又有斥力,但分子力为引力D.既有引力又斥力,但分子力为斥力

试题详情

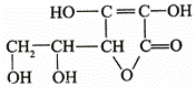
15.抗坏血酸就是维生素C(即vitaminC,以下简写为“Vc”),结构简式为:    

     下列关于Vc的叙述中正确的是(   )

    A.它是不饱和有机物              

    B.它难溶于水,易溶于苯

    C.它不易被氧化,故Vc可长期保存   

    D.Vc不能发生酯化反应

试题详情

13.A、B、C是短周期的三种元素,原子序数依次递增,A与C为同主族元素;在A与B形成的化合物中,A的质量分数为40%;在A与C形成的化合物中,A的质量分数为50%或60%,以下说法不正确的是       (   )

    A.原子半径:B的>C的>A的

    B.A与B形成的化合物熔点高

    C.A、C形成的化合物与A、B形成的化合物反应成盐

    D.A与氢元素只能形成一种化合物

  14.化学反应可视为旧键断裂和新键形成的过程,

化学键的键能是形成(或拆开)1 mol,化学键

时释放(或吸收)出的能量。已知白磷和P4O6

的分子结构如右图所示,现提供以下化学键的

键能(kJ·mol-1):

P-P:198  P-O:360  O=O:498

则反应P4(白磷)+3O2→P4O6的反应热△H为                         (   )

    A.-1638 kJ/mol   B.+1638 kJ/mol    C.-126 kJ/mol D.+126 kJ/mol

试题详情

12.下列操作中,溶液最终会有沉淀生成的是                             (   )

    A.向饱和CaCl2溶液中通入CO2

    B.向2mL蔗糖溶液中加入适量稀硫酸溶液,放在水浴中温热,充分反应后,再加入1mL

新制银氨溶液,继续放在水浴中温热

C.向煮沸的蒸馏水中滴加几滴FeCl3溶液

D.向Na2SO3溶液加入BaCl2溶液和过量稀硝酸

试题详情

11.常温时的下列溶液,最初pH<7,进行如下所述操作后,溶液中最后无沉淀生成,而且所得溶液的pH>7的是                                    (   )

    A.饱和NaCl溶液:用惰性电极电解一段时间

    B.AgNO3溶液:通入过量氨气

    C.FeCl3溶液:加入足量的Na2O2

    D.苯酚溶液:加入足量的浓溴水

试题详情

10.在容积不变的密闭容器中,在一定条件下发生反应2A(?)  B(g)+C(s),达到化学平衡后,其他条件不变,升高温度时,容器内气体的密度增大,则下列叙述正确的是

                                                                    (   )

    A.若正反应是吸热反应,则A为气态

    B.若正反应是放热反应,则A为气态

    C.在平衡体系中加入少量C,则平衡向逆反应方向移动

    D.改变压强对平衡的移动无影响

试题详情

9.将一定体积的某NaOH溶液分成两等份,一份用pH=2的一元酸HA中和,消耗酸溶液的

  体积为V1;另一份用pH=2的一元酸HB中和,消耗酸溶液的体积的V2,则下列有关叙

  述正确的是                                                    (   )

    A.若HA的酸性比HB的酸性强,则V1>V2

    B.若HA的酸性比HB的酸性弱,则V1>V2

    C.由于溶液的pH相等,故V1一定等于V2

    D.将两种酸等体积混合,pH一定等于2

试题详情


同步练习册答案