题目列表(包括答案和解析)

 0  121428  121436  121442  121446  121452  121454  121458  121464  121466  121472  121478  121482  121484  121488  121494  121496  121502  121506  121508  121512  121514  121518  121520  121522  121523  121524  121526  121527  121528  121530  121532  121536  121538  121542  121544  121548  121554  121556  121562  121566  121568  121572  121578  121584  121586  121592  121596  121598  121604  121608  121614  121622  447348 

5.物体在与其初速度始终共线的合外力F的作用下运动.取方向为正,合外力F随时间t的变化情况如图所示,则在这段时间内

A.物体的加速度先减小后增大,速度也是先减小后增大

B.物体的加速度先增大后减小,速度也是光增大后减小

C.物体的加速度先减小后增大,速度一直在增大

D.物体的加速度先减小后增大,速度一直在减小

试题详情

4.如图所示m1和m2两木块叠在一起以v的初速度被斜向上抛出去,不考虑空气阻力,抛出后m1的受力情况是

A.受重力,m2对m1压力和摩擦力的作用

B.受重力和m2对m1的压力的作用

C.只受重力的作用  

D.所受合力的方向与初速度方向一致

试题详情

3、若物体在运动过程中受到的合外力不为零,则

A.物体的动能不可能总是不变的;   B.物体的加速度一定变化;

C.物体的速度一定变化;       D.物体的速度可能不变化.

试题详情

2、伽利略根据实验证实了

   A.要物体运动必须有力的作用    B.力是维持物体运动的原因

    C.物体不受外力作用时,一定处于静止状态

    D.物体不受外力作用时,总保持原来的匀速直线运动或静止状态

试题详情

1、下列属于国际单位制中基本单位的是

    A.N        B.m/s      C.J       D.Kg

试题详情

3、物理1-18化学19-36生物37-54政治55-61历史62-68地理69-75

试题详情

2、答案用2B铅笔填涂在答题卡相应位置上  考试时间  120分钟

试题详情

31.I. 图14示哺乳动物(或人体)激素分泌的调节过程请据图回答下列问题:

(1)若图中所示腺体为睾丸,睾丸分泌的睾丸酮(雄性激素)具有增强蛋白质

合成、促进肌肉发育和骨骼生长,使体内贮存的脂肪减少等作用。个别男性运动

员长期用睾丸酮,则④⑤所示作用会      。可以预测,对其性腺造成的

危害是                  

(2)若图中所示腺体为甲状腺,大脑感觉到寒冷刺激,则通过

如图①②所示的调节过程,血液中的甲状腺激素浓度       ;通过③过程,

机体的       增加,抵御了寒冷,适应了环境。甲状腺激素是含碘的氨基酸

的衍生物。我国政府在碘贫乏地区强制推广加碘食盐,有效地预防了       

患儿的出生。

(3)甲状腺激素和生长激素在调节动物的生长发育过程中表现为       作用。

(4)为了验证甲状腺激素具有促进新陈代谢的生理作用,请你根据给出的实验材料

和用具,完善实验步骤,并预测实验结果。

①材料和用具:日龄相同体重相近的雄性成年大白鼠若干只,甲状腺激素溶液,蒸馏水,灌胃器,耗氧量测定装置等。

②方法与步骤:

A.将实验鼠随机分为数量相等的甲、乙两组,并分别用给出的仪器,测定并记录它们                     

B.每天用灌胃给予甲组鼠灌喂甲状腺激素溶液,给予乙组鼠灌喂      ,饲养一定时间.测定与记录结果

③结果预测:

A步骤的测定结果是:                    

B步骤的测定结果是:                    

II. 某同学在探究“生长素类似物(2,4-D)对植物生长有什么影响?”时,进行了如下实验。

步骤一:在标号1-5的培养皿中,分别加入30 mL10-10mol/L、10-8mol/L、10-6mol/L、10-4mol/L、10-2mol/L的生长素类似物(2,4-D)溶液;

步骤二:在1-5号培养皿中,分别放入1根等长的绿豆幼根;

步骤三:盖上培养皿后,置于同样的环境中培养一段时间,观察绿豆幼根生长情况。

请回答下列问题:

(1)他设计此实验研究的单一变量是            

(2)实验方案设计中缺少的是            

(3)实验步骤中有一处需要改进的是             

试题详情

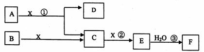
29.(l2分)下图中A、B均为固体,其中B为单质。下图可用于工业生产F。回答下列问题:

(1)A的化学式为___________________。

(2)反应①是一个氧化还原反应,该反应发生时,每生成4mol气体C,转移电子______mol。

(3)写出D与铝单质反应的化学方程式_____________________      _。

(4)反应②是可逆反应,在2L的密闭容器中投入4molC和3molX,10分钟后反应达到平衡,平衡时混合气体共6mol,则下列说法正确的是___________(填写序号字母)。

A. 工业制取F时,C和X生成E的反应是在吸收塔进行. B. 这10分钟内,X的平均反应速率是0.lmol/(L·min). C. 当C和X的消耗速率比为2:1时,标志着反应达到平衡.  D. 平衡时C的转化率是50%. E. 在工业生产中可以通过增加X浓度来提高C的转化率.

F. 工业生产中直接用水来吸收E.

  (5)写出过量气体C与氢氧化钠溶液反应的化学方程式_______________________   _。

  (6)将5mL0.02mol/L的F溶液与5mL0.02mol/LNaOH溶液充分混合,若混合后溶液的体积为10mL,则混合液的pH是___________。

30 I(1)棕熊冬眠后机体明显消瘦,骆驼是炎热的沙漠中长时间行走,驼峰明显减小。上述现象说明,此时主要的供能物质是___________,该物质的分解还满足了体内代谢对___________的需求。

  (2)营养学家在调查长期素食人群发展,由于长期营养缺陷导致贫血发病率高。原因是植物性蛋白比动物性蛋白更缺少人体所需的___________;研究还发现不同植物性蛋白所含此类营养成分差别较大,因此建议素食者应该_____________________      _。

  (3)当机体剧烈运动时,肌糖元分解产生较多的___________,该产物进入血浆后     与之反应使血浆pH变化不大。

  (4)如果一个人患糖尿病,检查发现尿液中的尿素含量不断增高,原因是由于缺乏___________,使细胞利用糖发生了障碍,导致___________分解加强了。

  (5)青少年型糖尿病属于多基因遗传病,具有家族聚集现象。但是,研究发现糖尿病的发生,是在肥胖、体力活动减少、饮食结构不合理、病毒感染等多种因素的作用下才能发病的,这说明糖尿病是___________和___________共同作用的结果。

II. 下图是科学家对果蝇正常染色体上部分基因的测序结果。请据图回答: 

(1)图1中的朱红眼基因与图3中的深红眼基因属于           基因。

(2)图1染色体上所呈现的基因不一定能在后代中全部表达,主要原因是

                                   

________________________________________________________

(3)图2中的I、II表示两种不同基因的结构,图1中红宝石眼基因的结构应如图2中的[    ],图2中的a能被________________________识别;若a中有一碱基对发生突变,带来的结果可能是                          

(4)与图1相比,图3发生了___________________________________________

试题详情

28. (14分)X、Y、Z和W代表原子序数依次增大的四种短周期元素,它们满足以下条件:

①元素周期表中,Z与Y相邻,Z与W相邻; ②X分别与Y、Z、W可组成化学式为YX3、X2Z和X2W三种共价化合物. 请填空:

(l)X、Y、Z原子最外层电子数之和是___________;

(2)X2W的电子式是____________________,YX3、X2Z和X2W形成的晶体类型都属于___________;

(3)X、Y和Z组成的一种化合物是强酸。写出该酸的稀溶液与铜反应的离子方程式:

   _______________________________       .

   X、Y和Z组成的另一种化合物是离子化合物,该离子化合物在210℃分解生成一种只含Y、Z的气体和一种只含X、Z的液体(在常温、常压下)。已知40g该离子化合物完全分解可生成11.2L的气体(标准状况下),该气体的化学式为:___________;

(4)X、Y、Z和W组成一种化合物,其原子个数之比为5:1:3:1;该化合物具有还原性。

   ①写出该化合物与过量稀NaOH溶液反应的离子方程式:________________

   ②请设计实验证明该化合物具有还原性:_____________________________。

试题详情


同步练习册答案