题目列表(包括答案和解析)

 0  121349  121357  121363  121367  121373  121375  121379  121385  121387  121393  121399  121403  121405  121409  121415  121417  121423  121427  121429  121433  121435  121439  121441  121443  121444  121445  121447  121448  121449  121451  121453  121457  121459  121463  121465  121469  121475  121477  121483  121487  121489  121493  121499  121505  121507  121513  121517  121519  121525  121529  121535  121543  447348 

1.连续分裂的动物体细胞的生长即体积增大,发生在细胞周期的              (   )

    A.分裂间期       B.分裂前期       C.分裂中期       D.分裂后期

  2.右图表示在适宜的温度、水分和CO2条件下,两种植物光合作用强度的变化情况。下列说法错误的是                          (  )

    A.当光照强度增加到一定程度时,光合作用强度不再增加,即达到饱和

    B.C3植物比C4植物光合作用强度更容易达到饱和

    C.C4植物比C3植物光能利用率高

    D.水稻是阴生植物,玉米是阳生植物

试题详情

31. (14分)科研人员对低磷环境对于水稻生长的影响进行研究,得到的结果如图所示。

(1)该实验所需的材料用具除四个不同品种水稻的种子若干粒、次氯酸钠消毒液、蒸馏水、八个盛有蛭石的容器、低磷营养液、正常浓度磷营养液和清水外,还应有__________________。

(2)将实验步骤补充完整:

   ①将水稻种子经次氯酸钠溶液消毒后,用蒸馏水清洗2遍,37℃催芽。

   ②待根长至1cm左右时,将四个品种幼苗分别平均分成甲、乙两组,移至八个盛有蛭石的容器中;编号作标记。

   ③_______________________________________________________________。

   ④_______________________________________________________________。

   ⑤____________________________________________________________。

(3)从图中实验结果可知,低磷环境对于四个品种水稻的根系生长均有_______作用,对于不同品种的作用有差异,说明水稻根系生长状况是由_____________________决定的。

(4)低磷对于四个品种的地上部分生长有抑制作用,这是因为磷在植物体内参与_______________________________________________________________等生理过程。

试题详情

30. (16分)骡子是马(2N=64)和驴(2N=62)杂交所得,母马与公驴的后代为马骡,母驴和公马的后代为驴骡。

  (1)马骡和驴骡体细胞中染色体数是否相同?应为多少?__________________。驴骡的Y染色体上基因控制的性状应与_________(马/驴)一致。

   (2)马骡和驴骡体细胞中线粒体DNA是否相同?为什么?__________________

   ____________________________________________________________________。线粒体中DNA与核DNA在存在形式上的主要区别是___________________________。

(3)骡子的细胞可以进行正常的_________分裂,一般不能进行正常的_________分裂。因

为_________时会发生紊乱,一般不能形成可育的配子,这反映了在马和驴这两个物种间存在着_________隔离。

试题详情

29. (18分)光合细菌,属红螺菌科,是能以光作为能源、以二氧化碳或有机物作为碳源进行繁殖的微生物,广泛分布于湖泊、海洋、土壤中。将红螺菌科的A、B、C、D四种菌株分别接种到三角瓶培养液中,于不同光照下培养,其生长曲线如图1~图3。

(l)由图1~图3看出:①________菌株在不同光照强度下均表现出较高的生长速率;

___________菌株在三种光照强度下生长均欠佳,________菌株在1000lx、30001x光照下生长

较好,而在50001x光照下生长很差。②光合细菌生长繁殖的较适宜光照强度为___________1x,在该光照强度下,菌体对数生长期较长,细胞数量达到较高的数值。

(2)红螺菌和人的细胞在结构上的最主要区别是______________________;二者都能合成由104个氨基酸组成的细胞色素C,则红螺菌控制合成细胞色素C的基因中编码区的脱氧核苷酸数目与人的相比应________(多/少)于人类。

(3)红螺菌可以作为鱼虾等水产动物的饵料提高产量,是因为其细胞中含有

   _________________________________________营养物质(答出三种即可)。

   (4)定期向养鱼虾的池塘中泼洒的红螺菌,能够抑制其它病菌生长繁殖,起到防治疾病的作用。这利用了生态因素中的_________关系。

   (5)红螺菌可以防止水体富营养化。若以实验验证这一假设,可以以_________的值作为观察测量的对象。

试题详情

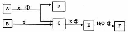
28. (l2分)下图中A、B均为固体,其中B为单质。下图可用于工业生产F。回答下列问题:

(1)A的化学式为___________________。

(2)反应①是一个氧化还原反应,该反应发生时,每生成4mol气体C,转移电子

_________________mol。

(3)写出D与铝单质反应的化学方程式______________________。

(4)反应②是可逆反应,在2L的密闭容器中投入4molC和3molX,10分钟后反应达到平衡,平衡时混合气体共6mol,则下列说法正确的是___________(填写序号字母)。

   A. 工业制取F时,C和X生成E的反应是在吸收塔进行

   B. 这10分钟内,X的平均反应速率是0.lmol/(L·min)

   C. 当C和X的消耗速率比为2:1时,标志着反应达到平衡

   D. 平衡时C的转化率是50%

   E. 在工业生产中可以通过增加X浓度来提高C的转化率

   F. 工业生产中直接用水来吸收E

   (5)写出过量气体C与氢氧化钠溶液反应的化学方程式

   _______________________________________________________。

   (6)将5mL0.02mol/L的F溶液与5mL0.02mol/LNaOH溶液充分混合,若混合后溶液的体积为10mL,则混合液的pH是___________。

试题详情

27. (14分)有A、B、C、D、E五种短周期元素,原子序数依次增大。A元素原子内无中子;B、C、D同周期;B元素原子最外层电子数是次外层的2倍;D是地壳中含量最多的元素;E与A同主族。回答下列问题:

   (1)画出E元素的离子结构示意图______________。

   (2)D、E形成的一种化合物甲能与B、D形成的一种化合物乙反应,生成D的单质。写出甲与乙反应的化学方程式____________________________________。

(3)采用石墨为电极,电解A、D、E三种元素所形成的一种化合物,其阳极电极反应为

_____________________________________________。

(4)A、C能形成一种常见气体丙,其分子为___________分子(填“极性”或“非极性”);丙的电子式为______________________;实验室制取气体丙的化学方程式为_________________

___________________________________。

(5)在一定条件下,lmol气体丙还可与D的单质反应,生成水蒸气和另一种气体,同时转移个电子,并放出282.8kJ的热量,试写出该反应的热化学方程式

______________________________________________________。

试题详情

26. (18分)现有一份含有FeCl3和FeCl2固体的混合物,为测定各成分的含量进行如下两个实验:

   实验1

   ①称取一定质量的样品,将样品溶解

   ②向溶解后的溶液中加入足量的AgNO3溶液,产生沉淀

   ③将沉淀过滤、洗涤、干燥得到白色固体17.22g

   实验2

   ①称取与实验1中相同质量的样品,将样品溶解

   ②向溶解后的溶液中,通入足量的Cl2

   ③再向②所得溶液中加入足量的NaOH溶液,得到红褐色沉淀

④将沉淀过滤、洗涤后,加热灼烧,到质量不再减少,得到固体物质4g

根据实验回答下列问题:

(l)溶解过程中所用到的玻璃仪器有_____________________。

(2)实验室保存FeCl2溶液时通常会向其中加入少量试剂_________和_________。

(3)实验2中通入足量Cl2的目的是____________________________________。

   涉及的化学反应的离子方程式是____________________________________。

(4)简述检验实验2的步骤④中沉淀已经洗涤干净的方法

   _______________________________________________________________

   _______________________________________________________________。

(5)加热FeCl3溶液,并将溶液蒸干时,通常不能得到FeCl3固体,请以平衡的观点解释其原因(方程式与文字相结合来说明)___________________________________________

______________________________________________________。

(6)FeCl3溶液可以用于止血,主要是因为FeCl3溶液能使血液聚沉,这涉及到胶体的性质。以下关于胶体的说法不正确的是_____________(填写序号字母)。

   A. 胶体粒子能透过滤纸,但不能透过半透膜

   B. 胶体粒子具有较大的表面积,能吸附阳离子或阴离子,故在电场作用下会产生电泳现象

   C. 只有胶体粒子能作布朗运动

   D. 向Fe(OH)3胶体中滴加硫酸,会先出现红褐色沉淀,随后沉淀消失

   E. 在蛋白质溶液中加入稀的CuSO4溶液,可使蛋白质盐析

(7)通过实验所得数据,计算得固体样品中FeCl3和FeCl2的物质的量之比为__________________。

(8)实验室可以采用下列装置制取少量的FeCl3固体,已知FeCl3固体易潮解。(部分夹持仪器已略去)

该装置存在不足,往往无法得到FeCl3固体,请你对该装置提出合理的改进措施

   _______________________________________________________________。

试题详情

25. (16分)咖啡酸()也叫3,4-二羟基桂皮酸,它存在于许多中药中,如野胡萝卜、光叶水苏、荞麦、木半夏等。咖啡酸有止血作用,对内脏的止血效果较好,毒性较小,还有镇咳、祛痰等疗效。

   (1)咖啡酸的分子式是____________________。

   (2)咖啡酸不具有以下哪些化学性质__________(填写序号字母)。

A. 有浓硫酸、加热条件下能发生消去反应 

B. 能与FeCl3溶液发生显色反应

C. 能发生银镜反应           

D. 一定条件下能发生酯化反应

   (3)1mol咖啡酸跟浓溴水反应时最多消耗______molBr2,反应类型有

   ____________________________________________________________。

   (4)写出咖啡酸一定条件下发生加聚反应的方程式

   ____________________________________________________________。

    写出咖啡酸与NaHCO3溶液反应的方程式

   ____________________________________________________________。

   (5)写出符合下列条件的有机物A的结构简式

   有机物A的分子式为C9H10O2;分子中有一个甲基;A能发生水解反应;在溶液中1molA能与2molNaOH反应

   ____________________________________________________________。

   (6)将一定量咖啡酸与A的混合物点燃。该混合物完全燃烧消耗x L O2,并生成yg H2O和mL CO2(气体体积均为标准状况下的体积)。列出混合物中咖啡酸的物质的量的计算式____________________。

试题详情

24. (20分)如图甲所示,光滑且足够长的平行金属导轨MN、PQ固定在同一水平面上,两导轨间距L=0.3m。导轨电阻忽略不计,其间连接有固定电阻R=0.4。导轨上停放一质量m=0.1kg、电阻r=0.2的金属杆ab,整个装置处于磁感应强度B=0.5T的匀强磁场中,磁场方向竖直向下。利用一外力F沿水平方向拉金属杆ab,使之由静止开始运动,电压传感器可将R两端的电压U即时采集并输入电脑,获得电压U随时间t变化的关系如图乙所示。

   (l)试证明金属杆做匀加速直线运动,并计算加速度的大小;

   (2)求第2s末外力F的瞬时功率;

   (3)如果水平外力从静止开始拉动杆2s所做的功为0.3J,求回路中定值电阻R上产生的焦耳热是多少。

试题详情

23. (l8分)如图所示,BC是半径为R的圆弧形的光滑且绝缘的轨道,位于竖直平面内,  其下端与水平绝缘轨道平滑连接,整个轨道处在水平向左的匀强电场中,电场强度为  E. 现有一质量为m、带正电q的小滑块(可视为质点),从C点由静止释放,滑到水平轨道上的A点时速度减为零。若已知滑块与水平轨道间的动摩擦因数为,求:

   (1)滑块通过B点时的速度大小;

   (2)滑块经过圆弧轨道的B点时,所受轨道支持力的大小;

(3)水平轨道上A、B两点之间的距离。

试题详情


同步练习册答案