题目列表(包括答案和解析)

 0  121517  121525  121531  121535  121541  121543  121547  121553  121555  121561  121567  121571  121573  121577  121583  121585  121591  121595  121597  121601  121603  121607  121609  121611  121612  121613  121615  121616  121617  121619  121621  121625  121627  121631  121633  121637  121643  121645  121651  121655  121657  121661  121667  121673  121675  121681  121685  121687  121693  121697  121703  121711  447348 

11、能促进水的电离,并使溶液中c(H+)>c(OH-)的操作是

①将水加热煮沸  ②向水中投入一小块金属钠

   ③向水中通CO2④向水中加入明矾晶体

⑤向水中加入NaHCO3固体  ⑥向水中加NaHSO4固体

A.①②④⑤   B.①④⑤   C.③④⑤  D.④

试题详情

10、在温度为500K,有相同体积的甲、乙两容器,甲容器充入1gSO2,1gO2,乙容器充入2gSO2,2gO2,则下列叙述中正确的是

A.化学反应速率:乙>甲   B.平衡后SO2的浓度:乙>甲  

C.SO2转化率:乙>甲    D.平衡后SO2的体积分数:乙>甲 

试题详情

8、下列实验操作或实验事故的处理正确的是

   A、做焰色反应时.用玻璃棒蘸取溶液放在酒精灯上灼烧

   B、用pH试纸检验溶液的酸碱性时,pH试纸应先用蒸馏水湿润

   C、误食氯化钡溶液,应立即服用大量的牛奶解毒

   D、分液时,下层液体先从下口放出,换一个接受容器,再将上层液体从下口放出

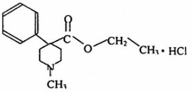
   9、国际奥委会公布的违禁药物目前有138种。某种兴奋剂的结构如下,关于它的说法中正确的是

    A.从结构上看.它属于芳香烃       

     B.它的分子中所有的碳原子共平面

     C.该物质的分子式为C14H22ClNO2

     D.1mol该物质最多能与含2mol氢氧化钠的溶液反应

试题详情

7、根据下列实验事实,判断微粒氧化性大小顺序正确的是

   ①FeCl3溶液中滴入KI溶液,加CCl4振荡,CCl4层呈紫色

   ②FeCl2溶液中滴加氯水,再加KSCN溶液,呈红色

   ④KMnO4溶液中滴加浓盐酸,KMnO4溶液褪色

   A、I2<C12<Fe3+<MnO4-    B、MnO4->C12>Fe3+>I2

   C、Cl2>I2>Fe3+>MnO4-    D、Fe3+>MnO4->Cl2>I2

试题详情

6.2007年12月3日,来自190多个国家的代表和科学家齐聚印度尼西亚巴厘岛参加2007年联合国气候变化大会,会上讨论气候变暖和气体减排等问题,其中对气候变化影响最大的是

   A.CH4   B.CO2   C.O3   D.氮氧化合物

试题详情

5.用黄色短杆菌生产赖氨酸,有关叙述正确的是:

   A.对黄色短杆菌进行诱变处理.可获得大量积累赖氨酸的高产菌株

   B.在稳定期,活菌数稳定,赖氨酸的产量也不再增加

   C.发酵过程中.可以向发醇罐中通入空气并搅拌,以增加溶氧,提高原料的利用率

   D.赖氨酸是黄色短杆菌的次级代谢产物

试题详情

4.下列有关生态学问题的表述正确的是:

   A.种植玉米时,因玉米高矮不一,具有分层现象,所以要合理密植。

   B.生态系统的成分包括生产者、消费者和分解者,三者紧密联系、缺一不可。

   C.对某生态系统中某种乔木取样调查,选取5个合适的样方.每个样方面积为S(rn2),记数的结果分别是nl、n2、n3、n4、n5,刖该乔木的种群密度为(nl+n2+n3+n4+n5)/5S(株/rn2)

D.若流入初级消费者、次级消费者、三级消费者的能量依次为Q1、Q2、Q3,则Q1≥Q2+Q3  

试题详情

3.癌症是威胁人类健康的一类重要疾病。人们对它进行了大量的研究,以下是有关癌细胞结构及生理的描述。你认为正确的是:

   ①每个癌细胞都有数目相同的染色体组  ②新陈代谢速度减慢,细胞萎缩

   ③每个癌细胞的DNA量不一定相等   ④都具有两个中心体,且分别位于细胞的两极

   ⑤在某些病毒的诱导下能产生原癌基因  ⑥细胞内的色素逐渐积累

   ⑦失去控制.无限增殖

   A.①⑦   B.②④   C.⑤⑥  D.③⑦

试题详情

2.下图为DNA测序仪显示的某真核生物DNA片段一条链的碱基排列图。其中图l的碱基排列顺序已经解读,其顺序为GGTTATGCGT,关于下图及相关问题的回答锖误的是:

A.图2的碱基排列顺序是GATGCGTTCG

B.若将此真核生物的基因导入细菌,在获取该基因时最好采用“鸟枪法”

C.该DNA片段中(A+C)/(T+G)=1

D.如果该DNA分子为一珠蛋白的DNA探针,则可用它来检测镰刀型细胞贫血症

试题详情

1.利用细胞工程方法,以SARS病毒核衣壳蛋白为抗原制备出单克隆抗体。下列相关叙述正确的是

   A.用纯化的核衣壳蛋白反复注射到小鼠体内,产生的血清抗体为单克隆抗体

   B.体外培养单个效应B细胞可以获得大量针对SARS病毒的单克隆抗体

   C.将等量效应B细胞和量髓瘤细胞混合,经PEG诱导融合后的细胞不一定为杂交瘤细胞

   D.利用该单克隆抗体与SARS病毒核衣壳蛋白特异性结合的方法不一定诊断出SARS病毒感染者

试题详情


同步练习册答案