题目列表(包括答案和解析)

 0  122278  122286  122292  122296  122302  122304  122308  122314  122316  122322  122328  122332  122334  122338  122344  122346  122352  122356  122358  122362  122364  122368  122370  122372  122373  122374  122376  122377  122378  122380  122382  122386  122388  122392  122394  122398  122404  122406  122412  122416  122418  122422  122428  122434  122436  122442  122446  122448  122454  122458  122464  122472  447348 

7.2008年北京奥运会主体育场--“鸟巢”,被《泰晤士报》评为全球“最强悍”工程。“鸟巢”运用了高强度、高性能的钒氮合金高新钢和884块ETFE膜,并采用新一代的氮化镓高亮度LED材料。下列说法正确的是

A.合金的熔点通常比组分金属高,硬度比组分金属小

B.已知Ga处于第ⅢA族,可推知氮化镓化学式为Ga3N2

C.工业上可用金属铝与V2O5在常温下冶炼钒,铝作还原剂

D.ETFE膜()是纯净物

试题详情

6.化学科学需要借助化学专用语言来描述,下列有关化学用语正确的是

A.CO2的分子式:         C.乙烯的结构简式:C2H4

B.Cl-的结构示意图:       D.质量数为37的氯原子:

试题详情

5.为了研究用基因重组等方法生产的干扰素对癌症的治疗效果,有人计划进行如下实验

(1)从癌症患者身上取得癌细胞,并培养此种细胞

 (2)给培养中的癌细胞添加干扰素

(3)观察干扰素是否对癌细胞的生长带来了变化

上述的实验计划中存在不足。下列可供选择的改进方法中,正确的是

①将培养的癌细胞分成两组,一组添加干扰素,一组不添加干扰素,分别观察生长情况

②直接给癌症患者注射干扰素,进行临床实验

③设置一系列不同质量分数的干扰素,分别添加给培养中的癌细胞,观察生长情况

A.②③   B.①②   C.①③   D.①②③

试题详情

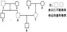
4.如下图所示,为了鉴定男孩8与本家族的亲子关系,需采用特殊的鉴定方案。下列方案可行的是

A.比较8与2的线粒体DNA序列   

B.比较8与3的线粒体DNA序列

C.比较8与5的Y染色体DNA序列  

D.比较8与2的X染色体DNA序列

试题详情

3.下列有关概念间的关系图,正确的是

试题详情

2.下列结构中可存在突触的是

① 一个神经元内  ②脊髓  ③大脑皮层 ④树突→轴突  ⑤轴突→树突

⑥轴突→细胞体  ⑦一个完整的反射弧内  ⑧感觉神经元与运动神经元之间

A.②③⑤⑥⑦⑧         B.②③⑤⑥⑦   

C.①②③⑤⑥⑦⑧        D.④⑤⑥⑦

试题详情

1.下列实验试剂或材料与其实验名称相符合的是

A.甲基绿吡罗红--观察DNA和RNA在细胞中的分布

B.澄清石灰水--探究酵母菌细胞呼吸的方式

C.碘液--探究温度对唾液淀粉酶活性的影响

D.紫色的洋葱表皮细胞--观察植物细胞的有丝分裂

试题详情

32.(10分)请分析回答下列有关现代生物科技方面的问题:

(1)基因工程的基本操作程序:

①第一步是目的基因的获取,第二步是基因表达载体的构建,第三步是将目的基因导入受体细胞,第四步是                     

②利用PCR技术扩增目的基因的过程中,目的基因受热形成单链并与引物结合,在          酶的作用下延伸形成DNA。

③采用农杆菌转化法将目的基因导入植物细胞后,培养该细胞再生成植株的过程中,往往需要使用植物激素,人为地控制细胞的      和       。

④如果转基因植物的花粉中含有毒蛋白,将引起的安全性问题包括         。  (填字母:A生物安全 B环境安全  C食品安全 

 D伦理道德问题  )

 (2) 在单克隆抗体制备过程中,经人工诱导后,骨髓瘤细胞和产生免疫反应的动物的脾脏细胞中的B淋巴细胞融合。由于可能产生多种融合细胞,因此还需对融合细胞进行   

试题详情

31.(13分)X.Y.Z.Q.E五种元素中,X原子核外的M层中只有两对成对电子,Y原子核外的L层电子数是K层的两倍,Z是地壳内含量(质量分数)最高的元素,Q的核电荷数是X与Z的核电荷数之和,E在元素周期表的各元素中电负性最大。请回答下列问题:

(1)X.Y的元素符号依次为      .     ;

(2)XZ2与YZ2分子的立体结构分别是      和      ,相同条件下两者在水中的溶解度较大的是      (写分子式),理由          

                             ;

(3)Q的元素符号是     ,它的核外电子排布式             ;

(4)用氢键表示式写出E的氢化物溶液中存在的所有氢键        。

试题详情

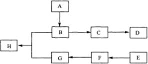
30.(13分)

下图中A.B.C.D.E.F.G.H均为有机化合物。

   回答下列问题:

   (1)有机化合物 A的相对分子质量小于60,A能发生银镜反应,1molA在催化剂作用下能与3 mol H2反应生成B,则A的结构简式是________________,

由A生成B的反应类型是________________;

   (2)B在浓硫酸中加热可生成C,C在催化剂作用下可聚合生成高分子化

合物D,由C生成D的化学方程式是__________________________ ;

(3)①芳香化合物E的分于式是C8H8Cl2。E的苯环上的一溴取代物只有一种,则E的所有可能的结构简式是

_____________________________________________________________________       

   ②E在NaOH溶液中可转变为F,F用高锰酸钾酸性溶液氧化生成G(C8H6O4)。1 mol G与足量的 NaHCO3溶液反应可放出 44.8 L CO2(标准状况),由此确定E的结构简式是_________________________

   (4)G和足量的B在浓硫酸催化下加热反应可生成H,则由G和B生成H的化学方程式是___________________________________________________________________,

该反应的反应类型是_________________。

试题详情


同步练习册答案