题目列表(包括答案和解析)

 0  122599  122607  122613  122617  122623  122625  122629  122635  122637  122643  122649  122653  122655  122659  122665  122667  122673  122677  122679  122683  122685  122689  122691  122693  122694  122695  122697  122698  122699  122701  122703  122707  122709  122713  122715  122719  122725  122727  122733  122737  122739  122743  122749  122755  122757  122763  122767  122769  122775  122779  122785  122793  447348 

31、(20分)李振声院士获得了2006年度国家最高科技奖,其主要成就是实现了小麦同偃麦草的远缘杂交,培育成了多个小偃麦品种,请回答下列有关小麦遗传育种的问题:

1如果小偃麦早熟(A)对晚熟(a)是显性,抗干热(B)对不抗干热(b)是显性(两对基因自由组合),在研究这两对相对性状的杂交试验中,以某亲本与双隐型纯合子杂交,F1代性状分离比为1:1,请写出此亲本可能的基因型:___________________________。

试题详情

30.Ⅰ.(12分)右图为吞噬细胞杀灭细菌的示意图,图

  中的溶酶体内含有多种水解酶,据图回答:

  (1)图中①过程进行的是溶酶体释放水解酶,将

  细菌分解,该过程属于    免疫。

  (2)有些毒性很强的细菌经过上述过程虽然还不

  能被清除,但其内部隐藏的       可以被暴露出

来,呈递给相应的免疫细胞,使之迅速增殖分化

               。当该细菌在体液中活动时,会被相应的抗体消灭,这属于特异性免疫中的        

  (3)图中②为线粒体,请简单写出线粒体内发生的与细胞呼吸有关的主要化学变化过程(用图解表示):

                              

Ⅱ(10分)如图表示以DNA为模板转录RNA的过程图解。图中4、5表示两种功能不同的酶,请据图分析回答下列问题:

(1)在玉米的叶肉细胞中,能够进行该过程的细胞结构主要是________。

(2)转录过程中,DNA首先在[  ]___________的催化作用下,将DNA分子中碱基对内的___________断开,该过程称为___________。

(3)然后在[4] RNA聚合酶的催化作用下,以其中的甲链为模板,以[  ] __________为原料,由_________提供能量,按照_________________原则,合成出[  ] __________。

(4)在真核细胞的细胞核中,转录的产物通过________进入到细胞质中,与__________结合在一起指导蛋白质的生物合成。

试题详情

29.(16分)

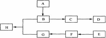
下图中A、B、C、D、E、F、G、H均为有机化合物。

回答下列问题:

(1)有机化合物 A的相对分子质量小于60,A能发生银镜反应,1molA在催化剂作用下能与3 mol H2反应生成B,则A的结构简式是___________________,由A生成B的反应类型是   

(2)B在浓硫酸中加热可生成C,C在催化剂作用下可聚合生成高分子化合物D,由C生成D的化学方程式是__________________________;

(3)①芳香化合物E的分于式是C8H8Cl2。E的苯环上的一溴取代物只有一种,则E的所有可能的结构简式是_______________________________________________

②E在NaOH溶液中可转变为F,F用高锰酸钾酸性溶液氧化生成G(C8H6O4)。1 mol G与足量的 NaHCO3溶液反应可放出 44.8 L CO2(标准状况),由此确定E的结构简式是________________

(4)G和足量的B在浓硫酸催化下加热反应可生成H,则由G和B生成H的化学方程式是____________________________,该反应的反应类型是_______________________。

试题详情

28.(15分)

某课外小组利用H2还原黄色的WO3粉末测定W的相对原子质量,下图是测定装置的示意图,A中的试剂是盐酸。

请回答下列问题。

(1)仪器中装入的试剂:B_________ 、C________、D___________;

(2)连接好装置后应首先_________________________,其方法是________________

(3)“加热反应管E”和“从A瓶逐滴滴加液体”这两步操作应该先进行的是 _______________。在这两步之间还应进行的操作是____________________________;

(4)反应过程中G管逸出的气体是________________,其处理方法是_____

(5)从实验中测得了下列数据

 ①空E管的质量a ; ②E管和WO3的总质量b ;③反应后E管和W粉的总质量c(冷却到室温称量);④反应前F管及内盛物的总质量d ;⑤反应后F管及内盛物的总质量e

由以上数据可以列出计算W的相对原子质量的两个不同计算式(除W外,其他涉及的元素的相对原子质量均为已知):

计算式1:Ar(W)=____________;计算式2:Ar(W)=____________。

试题详情

27.(15分)

 D、E、X、Y、Z是周期表中的前20号元素,且原子序数逐渐增大。它们的最简氢化物分子的空间构型依次是正四面体、三角锥形、正四面体、角形(V形)、直线形。回答下列问题:

(1)Y的最高价氧化物的化学式为__________;

(2)上述5种元素中,能形成酸性最强的含氧酸的元素是___________,写出该元素的任意3种含氧酸的化学式:__________________________________;

(3)D和Y形成的化合物,其分子的空间构型为____________;

(4)D 和X形成的化合物,其化学键类型属___________,其晶体类型属__________;

(5)金属镁和E的单质在高温下反应得到的产物是___________,此产物与水反应生成两种碱,该反应的化学方程式是____________________;

(6)试比较D和X的最高价氧化物熔点的高低并说明理由:                                    ____________________________________________      _____________      

试题详情

26.(14分)

某固体混合物可能含有MgCO3、Al2(SO4)3、Na2SO4、Ba(NO3)2、AgNO3和CuSO4。将该混合物进行如下实验,根据所给实验现象完成表格(对于能确定的物质在相应位置写化学式,暂不能确定的物质在相应位置填“无”):

(1)将少许混合物放入水中得到无色溶液和白色沉淀。

肯定存在的物质
肯定不存在的物质
理由
 
 
 

(2)取溶液进行焰色反应,火焰呈黄色;

肯定存在的物质
肯定不存在的物质
理由
 
 
 

(3)取白色沉淀加入稀盐酸,沉淀完全溶解并放出气体。

肯定存在的物质
肯定不存在的物质
理由
 
 
 

  (4)通过上述实验仍无法确定的物质是______________。

试题详情

25.(20分) 如图下图所示,坐标空间中有场强为E的匀强电场和磁感应强度为B的匀强磁场,y轴为两种场的分界面,图中虚线为磁场区的右边界。现有一质量为m.电量为-q的带电粒子,从电场中的P点以初速度V0沿x轴正方向开始运动,已知P点的坐标为(-L,0)且,L=mv20/qE,试求:

(1)带电粒子运动到Y轴上时的速度的大小及方向(10分)

(2)要使带电粒子能穿越磁场区域而不再返回到电场中,磁场的宽度最  大为多少(不计带电粒子的重力)(10分)

试题详情

24.(19分)均匀导线制成的单位正方形闭合线框abcd,每边长为L,总电阻为R,总质量为m。将其置于磁感强度为B的水平匀强磁场上方h处,如图所示。线框由静止自由下落,线框平面保持在竖直平面内,且cd边始终与水平的磁场边界平行。当cd边刚进入磁场时,

(1)求线框中产生的感应电动势大小; (6分)

(2)求cd两点间的电势差大小; (6)

(3)若此时线框加速度恰好为零,求线框下落的高度h所应满足的条件。(7分)

试题详情

23. (16分)滑板运动是一项非常刺激的水上运动,研究表明,在进行滑板运动时,水对滑板的作用力Fx垂直于板面,大小为kv2,其中v为滑板速率(水可视为静止).某次运动中,在水平牵引力作用下,当滑板和水面的夹角θ=37°时(题23图),滑板做匀速直线运动,相应的k=54 kg/m,人和滑板的总质量为108 kg,试求(重力加速度g取10 m/s2,sin 37°=0.6,忽略空气阻力):

(1)水平牵引力的大小;(6分)

(2)滑板的速率;(6分)

(3)水平牵引力的功率. (4分)

试题详情

21.如图,理想变压器原副线圈匝数之比为4∶1.原线圈接入一电压为uU0sinωt的交流电源,副线圈接一个R=27.5 Ω的负载电阻.若U0=220V,ω=100π Hz,则下述结论正确的是

   A.副线圈中输出交流电的周期为

   B.副线圈中电压表的读数为55 V

   C.原线圈中电流表的读数为0.5 A

   D.原线圈中的输入功率为

第Ⅱ卷(非选择题,共174分)

(1)(7分)下图中游标卡尺读数为       cm,螺旋测微器读数为      mm.

(2)(10分)某同学做“验证力的平行四边形定则”实验中,主要步骤是:

A.在桌上放一块方木板,在方木板上铺一张白纸,用图钉把白纸钉在方木板上。

B.用图钉把橡皮条的一端固定在板上的A点,在橡皮条的另一端拴上两条细绳,细绳的另一端系着绳套。

C.用两个弹簧秤分别勾住绳套,互成角度的拉橡皮条,使橡皮条拉长,结点到达某一位置O,记录下O点的位置,读出两个弹簧秤的示数。

D.按选好的标度,用铅笔和刻度尺做出两只弹簧秤的拉力F1F2的图示,并用平行四边形定则求出合力F

E.只用一只弹簧秤,通过细绳套拉橡皮条使其伸长,读出弹簧秤的示数,记下细绳的方向,按同一标度做出这个力Fˊ的图示。

F.比较力Fˊ和F的大小和方向,看他们是否相同,得出结论。

上述步骤中:①有重要遗漏的步骤的序号是________和_________(4分)

②遗漏的内容分别是:_________________________和__________________________(6分)

计算题(本题共3小题,总分55分,解题须包括必要的公式、步骤以及文字说明,只写结果不能得分)

试题详情


同步练习册答案