题目列表(包括答案和解析)

 0  122624  122632  122638  122642  122648  122650  122654  122660  122662  122668  122674  122678  122680  122684  122690  122692  122698  122702  122704  122708  122710  122714  122716  122718  122719  122720  122722  122723  122724  122726  122728  122732  122734  122738  122740  122744  122750  122752  122758  122762  122764  122768  122774  122780  122782  122788  122792  122794  122800  122804  122810  122818  447348 

5.下面有关生物实验原理、方法或结果的描述中,正确的是                 (   )

    A.“观察植物细胞有丝分裂”实验中,不需保持细胞的活体状态

    B.用样方法调查某种植物的种群密度时,选择分布均匀且数量较多的地块进行

   C.番茄含有丰富的葡萄糖和果糖,常用作还原性糖的鉴定材料

    D.显微镜下观察到的质壁分离是指细胞质与细胞壁的分开

试题详情

4.下列有关“S”型曲线的变化与事实不符合的叙述是                      (   )

    A. x轴为水稻根部氧气分压,y轴为水稻根

细胞对Si的吸收速率,在c点时,中耕

松土,k值将改变

    B. x轴为时间、y轴为某咱群个体数,在b

点改变环境条件或种群遗传因素,k值

交改变

    C. x轴为光照强度,y轴为绿色植物实际光

合作用量,在b点提高CO2­的浓度,k值

将改变

    D. x轴为时间,y轴为生态系统中群落有机物的量,在c点时,改变生态系统的生态环

境,k值将改变

试题详情

3.下列哪项符合对叶绿体和线粒体结构和功能的准确理解                   (   )

    A.叶绿体中可发生CO2→C3→C6H12O6过程,线粒体中可发生C6H12­O6→C3→CO2过程

    B.ATP和[H]在叶绿体中随水的分解而产生,在线粒体中随水的生成而产生

    C.光能转变成化学能发生在叶绿体中,化学能转变成光能发生在线粒体中

    D.都具有较大膜面积和复杂的酶系统,有利于新陈代谢高效而有序地进行

试题详情

2. 2007年5月《新民晚报》消息:上海科学家破解了神经元“沉默突触”的沉默之谜。此前发现,在脑内有一类突触只有突触结构而没有信息传递功能,被称为“沉默突触”。请你大胆推测上海科学家对此项研究所取得的成果。                   (   )

    ①突触小体中没有细胞核

    ②突触后膜缺乏相应的受体

    ③突触前膜缺乏相应的受体

    ④突触前膜不能释放相应的神经递质

    A.①②           B.①④         C.②③           D.②④

试题详情

1.下列关于细胞生命活动的叙述,正确的是                              (   )

    A.人的红细胞成熟后,仍能继续合成各种蛋白质

    B.细胞质中的代谢活动最终受细胞核的控制

    C.叶肉细胞利用核孔实现核内外DNA、RNA和蛋白质的交换

    D.基因突变、染色体变异和基因重组主要发生在细胞有丝分裂的间期

试题详情

(一)制取氧化铜

   ①称取研细后倒入烧杯,加蒸馏水溶解;

   ②向上述溶液中逐滴加入溶液,直到不再产生沉淀,然后将所得混合物转移到蒸发皿,加热至沉淀全部变为黑色;

   ③将步骤②所得混合物过滤、洗涤,晾干后放在研钵中研细备用。

   回答下列问题:

   (1)上述实验步骤中需要使用玻璃棒的是         (填实验序号),过滤时所用到的主要玻璃仪器的名称是           

   (2)步骤③中洗涤沉淀的操作是              

   (3)步骤③中洗去的杂质主要是               

(二)证明氧化铜能加快氯酸钾的分解并与二氧化锰的催化效果进行比较用右图装置进行实验,实验时均以生成气体为准,其它可能影响实验的因素均已忽略,相关数据见下表:

实验序号
质量
其它物质质量
待测数据


无其他物质
 
  ⑤

 
 


 
 

回答下列问题:

(4)上述实验中的“待测数据”指        

(5)本实验装置图中量气装置B由干燥管、乳胶管和滴定管改造后组装而成,此处所用滴定管是     (填“酸式”或“碱式”)滴定管;

(6)若要证明实验⑤中干燥管内收集的气体是,可待气体收集结束后,用弹簧夹夹住B中乳胶管,拔去干燥管上单孔橡皮塞,      

(7)若氯酸钾完全分解,则在标准状况下可得氧气多少    

28.(12分)在某个容积为的密闭容器内,在T℃时按下图1所示发生反应:  (为最简整数比)。

      

(1)据图l所示,反应开始至达到平衡时,用D表示该反应速率为    

   (2)该反应的化学平衡常数K的数值为       (保留至两位小数);

   (3)反应达到平衡后,第7min时:

    ①若降低温度,D的浓度变化最可能的是      (用图2中a-c的编号回答):

    ②若在7min时仍为原平衡,此时将容器的容积压缩为原来一半,请在图3中画出7min后D浓度变化情况。

   (4)在T℃时,相同的容积为的密闭容器内,若开始时加入反应,达到平衡后,A的浓度范围为     

   (5)下面四个选项是四位学生在学习化学反应速率与化学反应限度以后,联系化工生产实际所发表的看法,你认为不正确的是     

   A.利用化学反应速率理论可指导怎样在一定时间内快出产品

   B.加快反应速率可提高原料的转化率

   C.勒夏特列原理可指导怎样使用有限原料多出产品

   D.正确利用化学反应速率和化学反应限度都可以提高化工生产的综合经济效益

29.(16分)我国目前的身份证采用的是具有绿色环保性能的PETG新材料,PETG新材料可以回收再利用,而且对周边环境不构成任何污染。PETG的结构简式为:

 

   EG        TPA          CHDM        TPA

已知:

(1)

(2)  (表示烃基)这种材料可采用下合成路线:

 

   试回答下列问题:

   (1)反应②⑥加入的试剂X是        

   (2)①的反应类型是      

   (3)写出结构简式:B       I        

(4)合成时应控制的单体的物质的量

            (用m、n表示)

   (5)写出化学方程式:

    反应③           

    反应⑥:          

(6)物质I的同分异构体符合下列条件

①苯环上有三个取代基且分别处于间位,其中一个是醛基

    ②能与溶液发生显色反应

   ③不能与溶液反应放出气体,但能在溶液中发生水解反应符合以上条件的I的同分异构体有     种,写出其中任意两种的结构简式:

                    

30.某生物兴趣小组做了以下两个实验,请回答有关问题:

I.(12分)用依乐藻进行光合作用的实验。他们将一枝依乐藻放入加有适宜培养液的大试管中(室温20℃),可观察到光下枝条放出气泡。他们以太阳灯作为光源,移动太阳灯以改变与大试管的距离,结果如图1中曲线1,请回答:

        

(1)该实验研究的是      对光合速率的影响,并以     作为衡量光合速率的指标。

(2)若将太阳灯从处突然移至处,叶绿体中的含量将     (填“增加”、“不变”或“减少”)。

(3)该小组分别在室温10℃和30℃时进行实验,结果如图1中曲线2和曲线3。则D点的光合速率限制因素是       

(4)该小组分离出依乐藻中的叶绿体(见图2叶绿体的模式图),在适宜条件下培养,在上发生的能量转换为     ;由转移至的物质主要包括      

Ⅱ.(10分)用下列实验装置研究甲状腺激素对小鼠的新陈代谢的促进作用。实验装置足以维持实验过程中小鼠的生命,瓶口密封,忽略水蒸气变化对实验结果的影响,装置放在适宜恒温的环境中。

       

   现有性别、日龄、大小相同的健康小鼠数只及有关的实验材料,提供良好的饲养条件等。同学们设计了如下的实验方案:

步骤1:将小鼠随机均分为两组,分别编号为A组、B组;

步骤2:A组切除甲状腺,B组做假性切除处理,每天饲喂等量且适量的饲料,连续饲养一段时间,使其生理状态稳定;

步骤3:将A、B两组小鼠分别放入A、B两瓶中,待小鼠安静后塞紧胶塞,一段时间后记录两装置中液滴的移动情况。

   (1)该实验设计的装置有不当之处,请在不增加实验装置的情况下加以修改。    

   (2)该实验的基本原理是      

   (3)预期修正后的实验结果是     

   (4)有同学提出该实验设计还不够严谨,需加以补充,请在不增加实验装置的基础上提出合理的补充方案(注:试剂不受限制)。      

31.(22分)“假说-演绎法”是在观察和分析的基础上提出问题,通过推理和想像提出解释问题的假说,根据假说进行演绎推理,再通过实验检验演绎推理结论的科学方法。

   (1)孟德尔以黄色圆粒纯种豌豆和绿色皱粒纯种豌豆做亲本,分别设计了纯合亲本杂交、自交、测交的实验,按照“假说-演绎”法(即分析现象-提出假说-检验假说-得出结论),最后得出了自由组合定律。孟德尔在两对相对性状的遗传实验中:

   ①用于解释实验现象的“假说”是     。受精时,雌雄配子的结合是随机的。雌雄配子的结合方式有16种;遗传因子组合类型有9种;代的性状表现为4种:黄色圆粒、黄色皱粒、绿色圆粒、绿色皱粒,数量比为9:3:3:l。

   ②根据假说的“演绎”过程是:若上述假说成立,则      

   ③在检验假说阶段进行的实验是     

   (2)果蝇体表硬而长的毛称为刚毛,一个自然繁殖的直刚毛果蝇种群中,偶然出现了一只卷刚毛雄果蝇。已知直刚毛和卷刚毛是受等位基因A和a控制的。请回答下列问题:

   ①这只雄果蝇的卷刚毛性状是如何产生和遗传的呢?有一种假说认为这是亲代生殖细胞中X染色体上的基因发生了显性突变。请你尝试再写出两种假说:        

   ②已知这只卷刚毛雄果蝇与直刚毛雌果蝇杂交,全部是直刚毛,雌雄果蝇随机交配,的表现型及比例是直刚毛雌果蝇:直刚毛雄果蝇:卷刚毛雄果蝇=2:1:1,此时最合理的假说是      。        

③为验证②中的假说,某同学设计了如图所  

示的杂交试验。该实验及现象是否能够     

验证第②小题中提出的假说?请说明理由:    

        。              

④若为你提供以下一些纯合的果蝇作为材  

料:直刚毛雌果蝇、直刚毛雄果蝇、卷刚 

毛雌果蝇、卷刚毛雄果蝇,请你也来设计 

一个杂交试验,以验证第②小题中提出  

的假说,并预测实验结果:         

实验方案:     。(只要求写出杂交 

亲本的表现型)。      

预测结果:      

试题详情

18.一列简谐横波沿轴正方向传播,为波源,如图所示是波源开始振动后时的波形图,则下列判断正确的是(   )          

   A.这列波的周期为,振幅为    

   B.这列波的波速为,波长为     

   C.再经过处质点的位置       

坐标为

   D.再经过处的质点第一     

次到达波谷

19.氢原子能级如图所示,若氢原子发出两种频率的光,在真空中用同一装置做双缝干涉实验,分别得到干涉图样如图甲、乙所示。若光是氢原子由能级跃迁时发出的,则(   )

      

   A.图中的“”表示电压值

   B.光可能是从能级跃迁时发出的

   C.光在水中的传播速度小于光在水中的速度

   D.若用光以角从玻璃射向空气恰好发生全反射,则光以同样的入射角从玻璃射向空气不能发生全反射

20.如图所示,两个水平放置的很大的带电金属板间,一长为的绝缘细线一端固定在点,另一端栓着一个质量为、带有一定电      

量的小球,假设所带电量对板上电荷分       

布影响忽略不计。小球原来静止,当给         

小球某一初速度后,它可绕点在竖              

直平面内做匀速圆周运动,则(   )         

   A.小球一定带负电               

   B.从最低点到最高点小球电势能减小      

   C.从最低点到最高点小球机械能增加         

   D.在最低点时,小球重力的瞬时功率为      

21.如图所示,是位于水平面内的平

行金属导轨,间距为,其电阻可忽略不计,  

间连接着一个阻值为的电阻,为一个

垂直于的金属杆,它与接触

良好并沿轨道方向无摩擦滑动,阻值为

整个装置处于匀强磁场中,磁场方向垂直于图

中纸面向里,磁感应强度,当施拉力使杆

以速度匀速运动时,下列说法正确的是(   )

   A.当向右运动时,两点间电压为

   B.当向左运动时,受到的安培力方向向右,大小为

   C.经时间,电阻上产生的电热为

   D.施加于上的拉力的功率为

第Ⅱ卷 (非选择题  共174分)

I.(6分)用三棱镜做测定玻璃折射率的实验,先在白纸上放好三棱镜,在三棱镜的一侧插上两枚大头针,然后在三棱镜的另一 

侧观察,调整视线使的像被挡住,接

着在眼睛所在的一侧插两枚大头针

使挡住的像,使挡住

的像,在纸上标出大头针的位置和三棱镜轮廓如图所示。

   (1)在答题纸对应的图中画出所需光路。

   (2)如果只用一把三角尺,如何测出此玻璃的折射率?

   请作简要回答,并在答题纸对应的图中标上适当的字母,写出折射率的表达式。

                 

                 

Ⅱ.(12分)测量一电源的电动势和内电阻 (约为约为)。器材:

   A:量程的电压表(内阻很大,对电路的影响可以忽略不计)

   B:量程为的电压表(内阻很大,对电路的影响可以忽略不计)

   C:量程为的电流表(具有一定内阻)

   D:量程为的电流表(具有一定内阻)

E:定值电阻

滑动变阻器、电建K、导线若干

(1)要求尽可能提高实验精度,画出实验电路原理图

 

   (2)电路中电压表选    ,电流表选      。(填字母代号)

   (3)实验中,当电流表读数为时电压表读数为;当电流表读数为时电压表读数为,则可以求出         。(用表示)

23.(14分)2008年9月25日21时10分04秒,我国自行研制的神舟七号载人飞船由长征二号F型运载火箭点火,在酒泉卫星发射中心发射升空。飞船一般是由运载火箭点火发射后送入其运行轨道的。其发射后的飞行过程大致可分为:垂直加速阶段,惯性飞行阶段和进入轨道阶段。如图所示:      

(1)假定飞船的运行轨道为圆轨道,它的轨道     

半径为地球半径的4倍,则它运行的速度      

大小为多少?                      

(2)设某次发射过程中,把一在地球表面重为              

的物体,放置在飞船中。在飞船垂直           

加速上升的过程中,测得飞船加速度         

时物体与飞船中的支持面间相互作用力为

飞船此时距地面的高度为多少?(已知地球的半径,取)

24.(18分)如图所示,长,质量的薄木板静止放在粗糙水平面上。薄木板与地面之间的动摩擦因数为。质量的小物块(可看做质点)放在木板右侧,木板与物块的动摩擦因数。现对木板施加一水平向右拉力,设最大静摩擦力等于滑动摩擦力,取

   (1)如果用拉力拉木板,求2秒内小滑块的位移;

   (2)如果拉力恒定不变,求小物块离开薄木板时小物块的动能;

(3)如果拉力恒定不变,求在2秒钟之内小物块与薄木板之间产生的内能。

 

25.(22分)如图所示,与纸平面平行的平面内有一带电粒子以某一初速度做直线运动,一段时间后进入一垂直于纸面向里的圆形匀强磁场区域(图中未画出)。粒子飞出磁场后从上板边缘平行于板面进入两面平行的金属板间,两金属板带等量异种电荷,粒子在两板间经偏转后恰从下板右边缘飞出。已知带电粒子质量为,电量为,其重力不计,粒子进入磁场前的速度方向与带电板成角。匀强磁场的磁感应强度为,带电金属板长,板间距,板间电压为。则:

   (1)上金属板带何种电荷?

   (2)粒子刚进入金属板间的速度为多大?

(3)圆形磁场区域的最小面积为多大?

 

26.(14分)

  

   (1)上表中的粗实线是元素周期表中部分边界,请在表中用粗实线补全主族元素边界

   (2)元素甲是第三周期ⅦA族元素,化合物A是由甲元素等非金属元素组成的离子化合物,写出其化学式    ,该物质的水溶液呈  性,用离子方程式表示原因   

   (3)元素乙是第三周期金属元素中原子半径最小的元素,写出工业上制金属乙的化学方程式           

   (4)化合物B是由甲元素和乙元素形成的化合物,将化合物A与化合物B等物质的量溶于水中,向其中滴加过量的氢氧化钠溶液,直至形成透明溶液。请根据实验现象出现的先后顺序,依次写出离子方程式①     、②     、③    

27.(16分)某实验小组欲制取氧化铜并证明氧化铜能加快氯酸钾的分解,进行了如下实验:

试题详情

17.如图所示,三个小球分别用三根绝缘细线     

悬挂在同一点,细线的长度关系,       

让三球带电后它们静止在图中所示位置。此时细线    

沿竖直方向,连线恰构成一等边三角形,则    

下列说法正确的是(   )

   A.三球质量一定相等

   B.三球电荷量一定相等

   C.细线所受拉力大小一定相等

D.三球所受静电力大小一定相等

试题详情

16.如图所示,一理想变压器原线圈匝数匝,副线圈匝数匝,原线圈中接一交变电源,交变电压。副线圈中接一电动机,电阻为。电流表示数为。交流电表对电路的影响可忽略不计,则(   )

A.此交流电的频率为  

B.电压表示数为

   C.电流表示数为

D.此电动机的输出功率为

试题详情

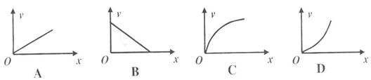
15.假设在平直公路上行驶的老式汽车紧急刹车时,汽车向前作匀减速直线运动,直到静止。同一汽车刹车时的速度不同,滑行距离也不同。下列图象中能反映出同一汽车在同一路面上紧急刹车时,汽车速度与滑行距离关系的是(   )

 

试题详情


同步练习册答案