题目列表(包括答案和解析)

 0  123170  123178  123184  123188  123194  123196  123200  123206  123208  123214  123220  123224  123226  123230  123236  123238  123244  123248  123250  123254  123256  123260  123262  123264  123265  123266  123268  123269  123270  123272  123274  123278  123280  123284  123286  123290  123296  123298  123304  123308  123310  123314  123320  123326  123328  123334  123338  123340  123346  123350  123356  123364  447348 

2.下列有关细胞叙述错误的是                       (   )

A.胡萝卜韧皮部细胞在离体状态下可表现出全能性

B.体外培养B淋巴细胞可获得单克隆抗体

C.受抗原刺激后的淋巴细胞核糖体活动增强

D.在兴奋传导中神经纤维膜内局部电流的流动方向与兴奋传导方向一致

  3.某种蝴蝶紫翅(P)对黄翅(p)是显性,绿眼(G)对白眼(g)为显性,两对基因分别位于两对同源染色体上,生物小组同学用紫翅绿眼和紫翅白眼的蝴蝶进行杂交, F1出现的性状类型及比例如下图所示。下列说法正确的是   (   )

   A.上述亲本的基因型是PpGg×PPgg

   B.上述亲本的基因型是PpGg×ppgg

C.F1紫翅白眼个体自交(基因型相同

个体间的交配),其中纯合子所占

比例是2/3

D.F1紫翅白眼个体自交(基因型相同

个体间的交配),其中纯合子所占比

例是1/2

试题详情

32.[生物-现代生物科技专题](10分)下图所示为农作物新品种的育种方式:

  (1) ②③过程分别称为__________、____________。

  (2)⑤过程中常用的运载体是_______,要得到⑤过程中某细菌的抗虫基因,常用的工具是   

(3)上述育种与传统杂交育种相比,具有的突出优点是           

试题详情

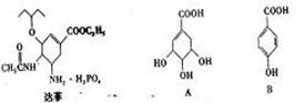
31. [化学--有机化学基础](13分 )抗猪流感药物达菲(Tamiflu)是以莽草酸(A)为原料,经过十步反应合成制得。莽草酸可以从我国常用的烹调香料“八角”中提取。达菲及A(莽草酸)、B的结构简式如下:

回答下列问题:

(1)写出化合物A中所含官能团的名称:             

⑵写出A-C的反应类型:         

⑶写出B-E的化学方程式:                     

⑷写出D的结构简式:            

⑸已知B有多种同分异构体,写出符合下列性质的B的同分异构体的结构简式      

①   与FeCl3溶液作用显紫色;②与新制Cu(OH)2悬浊液作用产生红色沉淀;

③苯环上的一卤代物有2种。

⑹设计A先生成C的目的                       

试题详情

30.[化学--物质结构与性质](13分 )①~⑨所代表的元素均在元素周期表前4周期,按原子半径递增的顺序进行排列,它们的主要化合价如表所示。其中⑦是过滤金属,且M曾排满,未成对电子数为1,其余为主族元素。

代号









半径(pm)
30
64
66
70
106
108
128
186
232
主要化合价
+1,-1
-1
-2
-3,+5
-2,+4,+6
-3,+5
+2
+1
+1

  (1)②③④中第一电离能最小的元素符号是   

   (2)元素⑥的氢化物中心原子的杂化方式是  

  (3)元素⑨单质晶体的原子堆积方式是    

  

  (4)⑦的基态原子核外电子排布式为    ,它的硫酸盐、氯化物、溴化物溶于足量的水以后呈相似的颜色,原因是在这些溶液中都含有相同的配离子是   

  (5)都由元素①③⑤⑧组成的两种化合物发生的离子反应方程式是           

试题详情

29.(物理-选修3-5,本题共有两小题,每小题6分,共12分。每小题只有一个选项符合题意。)

(1)我国自行研制了可控热核反应实验装置“超导托卡马克”(英文名称:EAST,俗称“人造太阳”)。设可控热核实验反应前氘核()的质量为m1,氚核()的质量为m2,反应后氦核(e)的质量为m3,中子()的质量为m4。已知光速为c。则下列说法中正确的是

     (填选项前编号) 。

①这种装置中发生核反应的方程式是

②由核反应过程质量守恒可知m1+m2= m3+m4

③核反应释放的能量等于 (m1 + m2 –m3 –m4 )c2

④这种装置与我国大亚湾核电站所使用核装置的核反应原理相同

(2)在高速公路上发生一起交通事故,一辆质量为1500kg向南行驶的长途客车迎面撞上了一质量为3000kg向北行驶的卡车,碰后两辆车接在一起,并向南滑行了一小段距离停止。根据测速仪的测定,长途客车碰前以20m/s的速度行驶,由此可判断卡车碰前的行驶速率  。(填选项前的编号)

①小于10m/s          ②大于10m/s,小于20m/s

③大于20m/s,小于30m/s     ④大于30m/s,小于40m/s

试题详情

28.(物理-选修3-3,本题共有两小题,每小题6分,共12分。每小题只有一个选项符合题意。)

(1)下列说法中正确的是  。(填选项前的编号)

①高温物体的内能一定比低温物体的内能大

②布朗运动是指悬浮在液体中的微粒的无规则运动

③物体的温度越高,分子平均动能越大,每个分子的动能也越大

④第一类永动机和第二类永动机不可能制成,是因为它们都违反了能量守恒定律

(2)如图所示,一定质量的理想气体用质量为M的活塞封闭在容器中,活塞与容器间光滑接触,在图中三种稳定状态下的温度分别为T1、T2、T3,则T1、T2、T3的大小关系为  。(填选项前的编号)

①T1=T2=T3  ②T1>T2>T3  ③T1<T2<T3  ④T1<T2=T3

试题详情

27.(16分)自然界的大麻(2n=20)为雌雄异体植物,其性别决定方式为XY型,右图为其性染色体简图。X和Y染色体有一部分是同源的(图中A区段),另一部分是非同源的(图中的B、C区段)。请回答相关问题:

(1)研究大麻的单倍体基因组需要测定    条染色体上的DNA  

序列。

(2)大麻雄株在减数分裂形成配子过程中,不可能通过互换发生基因重组

的是图中的       区段。

(3)如果某大麻雄株B区段有一显性致病基因,则其与正常雌株杂交,后

代发病几率为      ;如果此雄株的C区段同时存在另一致病基因,则其与正常雌株杂交,后代发病几率为     

(4)在研究中发现,大麻种群中的雌雄个体均有抗病和不抗病个体存在(已知该抗病性状受显性基因H控制)。

①由题目信息可知,控制大麻是否具有抗性的基因不可能位于图中的   

区段;

   ②若通过实验已确定大麻的H和h基因在X染色体上。现有纯种大麻若干株,请通过一次杂交实验,判断H和h基因位于X染色体上的哪个区段。

   亲本表现型:                   

预期实验结果及相应的结论:

                                   

选考部分

第II卷选考部分共5题,共35分.其中,第28、29题为物理题,第30、31题为化学题,考生从两道物理题、两道化学题中各任选一题作答,若第28、29都作答,则按第28题计分,若30、31题都作答,则按30题计分;第32题为生物题,是必答题.请将答案都填写在答题卡选答区域的指定位置上.

试题详情

26.Ⅰ(16分).请据图回答下列有关问题:

(1)甲图代表水稻的一个叶肉细胞及其相关生理过程示意图:

  ①充足的光照下,A中产生的一分子O2进入同一个细胞的B中,共穿过     层磷脂双分子层;写出在A结构中进行的生理过程的总反应式:

   _____________________________________________。

②若水稻在夏季夜晚情况下,图甲中可进行的途径有(用字母表示)      

(2)乙图中a点的限制因素是       ;b点与c点相比,相同时间内叶肉细胞中C3的生成量b点比c点    

(3)以测定的CO2吸收量与释放量为指标,研究温度对某绿色植物光合作用与呼吸作用的影响,结果如丙图所示:

①光照相同时间,在      温度条件下植物积累的有机物的量最多。

②如果该植物较长时间处于昼夜35℃恒温(12小时白天,12小时黑夜)环境中,植物能不能正常生长?__________;为什么?______________________。 

Ⅱ.(8分)如图表示在生态系统中,能量流经第二营养级的示意图,请据图分析:

(1)图中A表示        ,B表示               

 (2)从图中可以总结出能量流动的特点是                

 (3)假设在草原生态系统中,只存在羊一种动物,每平方公里小草平均每天同化量为1.3吨,每只羊一年长成65千克,则每平方公里草原上羊的载畜量最多为   只。

试题详情

25.(15分)粗盐提纯的研究。

[有关资料]

化学式
CaCO3
CaSO4
Ca(OH)2
MgCO3
Mg(OH)2
Ksp
2.8×10一9
9.1×10一6
1.0×10一4
3.5×10一5
1.6×10一11

某研究性学习小组对粗盐的提纯和检验进行研究,并提出一些新的方案。已知该粗盐样品

中主要含有不溶性杂质、Mg2+、Ca2+等(忽略SO42-的存在),该小组设计流程如下:

[设计除杂过程]

(1)操作①中需要使用的玻璃仪器有          。若在操作②结束后发现溶液B略有浑浊,应采取的措施是             

(2)混合液A的主要成分是               。(填化学式)

[检验除杂效果]

(3)为检验溶液B中Mg2+、Ca2+是否除尽,通常分别取少量溶液B于两支试管中。进行如下实验:

步骤一:检验Mg2+是否除尽。向其中一支试管中加入NaOH溶液,如果没有沉淀生成,则Mg2+已除尽。

步骤二:检验Ca2+是否除尽。向另一支试管中加入某溶液,如果没有沉淀生成,则Ca2+已除尽,效果最好的是      (填字母)。

A.Na2CO3       B.Na2SO4      C.NaOH

[获取纯净食盐]

(4)对溶液B加热并不断滴加l mol·L-1的盐酸溶液,同时用pH试纸检测溶液,直至pH=5时停止加盐酸,得到溶液C。该操作的目的是             ;用试纸测pH值的实验操作为                        

(5)将溶液C倒入        (填仪器名称)中,加热蒸发并用玻璃棒不断搅拌,直到              时(填现象),停止加热。

[问题讨论]

(6)进行操作②前,需先加热,其目的是                   

                .

试题详情

24.工业生产硝酸的流程图如下

请回答下列问题:

(1)写出硝酸在工农业生产中的重要作用_______________________(任写一条)。

(2)已知N2(g) +3H2(g)  2NH3(g) ;  ΔH=-92.4kJ·mol-1。请回答:

① 当合成氨反应达到平衡后,改变某一外界条件(不改变N2、H2和NH3的量),反应速率与时间的关系如图所示。图中t2 时引起平衡移动的条件可能是            .其中表示平衡混合物中NH3的含量最高的一段时间是          

②温度为T ℃时,将2a mol H2和a mol N2放入0.5L密闭容器中,充分反应后测得N2的转化率为50﹪。则该反应的化学平衡常数的数值为      

(3)氨催化氧化的化学方程式为_______________________ __ 

(4)氢气是一种新型的绿色能源.

①氢氧燃料电池具有广阔的发展前景。如图所示,右边Cu电极反应式是            

②工业上生产氢气是将水蒸气通过红热的炭,产生水煤气:

C(s) + H2O(g)  H2(g) + CO(g)  △H = +131.3 kJ/mol

该反应在低温下不能自发进行的原因是   

A.△H >0      B.温度较低时,△H影响为主   

C.△ S<0       D.温度较低时,△S影响为主

试题详情


同步练习册答案