题目列表(包括答案和解析)

 0  123554  123562  123568  123572  123578  123580  123584  123590  123592  123598  123604  123608  123610  123614  123620  123622  123628  123632  123634  123638  123640  123644  123646  123648  123649  123650  123652  123653  123654  123656  123658  123662  123664  123668  123670  123674  123680  123682  123688  123692  123694  123698  123704  123710  123712  123718  123722  123724  123730  123734  123740  123748  447348 

9.下列是某学生自己总结的一些规律,其中正确的是 

A.氧化物不可能是还原产物,只可能是氧化产物

B.有些化学反应不属于化合、分解、置换、复分解中的任何一种反应

C.一种元素可能有多种氧化物,但同种化合价只对应一种氧化物

D.饱和溶液一定比不饱和溶液的浓度大

试题详情

8.某有机物A是农药生产中的一种中间体,其结构简式如  右,下列叙述正确的是

A.有机物A属于芳香烃

B.有机物A可以和Br2的CCl4溶液发生加成反应

C.有机物A和浓硫酸混合加热,可以发生消去反应

D.1molA和足量的NaOH溶液反应,最多可以消耗3molNaOH

试题详情

7.我国宣布控制温室气体排放的行动目标,决定到2020年单位国内生产总值二氧化碳排放比2005年下降40%-45%。下列措施有利于节能减排,促进低碳经济发展的是

A.在江门台山市扩大火力发电站建设 

B.珠海、中山、江门建设轻轨交通,促进三市一体化发展

C.用填埋法处理未经分类的生活垃圾 

D.用家庭小汽车代替公交车

试题详情

6.下列关于细胞增殖、分化、癌变、衰老及干细胞的叙述中错误的是

A.细胞分化是基因选择性表达的结果,细胞全能性的实现与分化无关

B.干细胞能通过细胞分裂来维持自身细胞群的稳定,其分裂的方式是有丝分裂

C.与其他分化成熟的细胞相比干细胞也有衰老的过程

D.在接触到各种致癌因子后,干细胞比其他分化成熟的细胞更容易发生癌变

试题详情

5.下图是有关生态系统的概念图,对其中①②③④含意表达错误的是

A.①生态系统的结构           B.②生态系统的种类

C.③食物链和食物网           D.④信息传递

试题详情

4.下列关于实验分析的叙述中,正确的是

A.氢氧化钠在琼脂块上的扩散面积可以反映物质运输的效率

B.甲基绿的染色能让我们看清楚线粒体的分布

C.用于鉴定蛋白质的双缩脲试剂A液与B液要混合均匀后,再加入含样品的试管中

D.用同位素标记法的应用可以帮助我们分析分泌蛋白的合成运输途径

试题详情

3.下列有关人体内发生的生理活动的叙述中,错误的是

A.色盲男孩一个次级精母细胞处于分裂后期细胞中可能含有两个X染色体,两个色盲基因  

B.动物激素一经靶细胞接受并起作用后将会被灭活

C.唾液淀粉酶随食物进入胃腔后将继续发挥催化作用

D.神经递质作用于突触后膜上的受体后迅速被分解

试题详情

2.用32P标记的磷酸盐浸泡豌豆幼苗,追踪放射性的去向以研究豌豆根尖细胞分裂情况,得到根尖细胞连续分裂的时间(单位:h)的数据如图所示。下列叙述正确的是

A.DE阶段发生遗传物质的平均分配    B.CD段完成DNA复制和有关蛋白质的合成

C.BC阶段结束时DNA含量增加一倍   D.“CD+DE”为一个细胞周期,等于17.3h

试题详情

1.甲流是由H1N1病毒感染引起的,它与大肠杆菌最明显的区别是

A.无成形的细胞核   B.无遗传物质   C.无细胞壁   D.无细胞结构

试题详情

(二)、某同学测量一只未知阻值的电阻。

  (1)他先用多用电表进行测量,按照正确的步骤操作后,测量的结果如图甲所示,请你读出其阻值大小为        ,为了使多用电表测量的结果更准确,该同学接着应该进行哪些操作?

     答                    

  (2)若该同学再用“伏安法:’测量该电阻,所用器材如图乙所示,其中电压表内阻约为,电流表内阻约为5Ω,变阻器阻值为50Ω,图中部分连线已经连接好,为了尽可能准确地测量电阻,请你完成其余的连线.

  (3)该同学按照“伏安法”测量电阻的要求连接好图乙电路后,测得的电阻值将   (填“大于”、“小于”或“等于”)被测电阻的实际阻值。

 

  24.(14分)如图所示,一质量为m的滑块从高为h的光滑圆弧形槽的顶端A处无初速度地滑下,槽的底端B与水平传送带相接,传送带的运行速度为v0,长为L,滑块滑到传送带上后做匀加速运动,滑到传送带右端C时,恰好被加速到与传送带的速度相同.求:

  (1)滑块到达底端B时的速度v;

  (2)滑块与传送带间的动摩擦因数

  (3)此过程中,由于克服摩擦力做功而产生

的热量Q。

25.(18分)如图所示,在地面附近有一范围足够大的互相正交的匀强电场和匀强磁场.匀强磁场的磁感应强度为B,方向水平并垂直纸面向内,一质量为m、带电量为-q的带电微粒在此区域恰好做速度大小为v的匀速圆周运动.(重力加速度为g)

  (1)求此区域内电场强度的大小和方向;

  (2)若某时刻微粒运动到到场中距地面高度为H的P点,速度与水平方向成45°,如图所示.则该微粒至少要经多长时问运动到距地面的最高点?最高点距地面多高?

    (3)在(2)问中微粒运动P点时,突然撤去磁场,同时电场强度大小不变,方向变为水平向右,则该微粒运动中距地面的最大高度是多少?

26.(17分)I.我国是乙肝高发区,据统计我国乙肝病毒携带者约为1.2亿。乙肝病毒简称HBV,它基本上只与肝细胞结合,但不直接损伤肝细胞。肝组织损伤是通过免疫反应引起的,机体通过免疫反应在清除病霉同时,会导致肝细胞破裂、变性和坏死。

  (1)肝脏是人体最大的消化腺,它能够分泌胆汁,肝细胞中与此功能密切相关的细胞器有线粒体和        

  (2)肝脏里有一种细胞,能吞噬乙肝病毒,这种免疫方式叫做     免疫,其中细胞识别HBV的物质基础是       ,吞入HBV的结构基础是    

  (3)目前最可靠的乙肝检测方法是HBV一DNA检测,该检测方法的基本原理是   。白蛋白(A)和球蛋白(G)的比值(A/G)是肝功能检查的一项重要指标,白蛋白是在肝脏中制造的,当机体被病毒感染,肝功能会受损,白蛋白的产生会减少,又因为机体中存在乙肝病毒这个“敌人”,球蛋白的产生会     ,从而造成A/G的比值       

II.下图是某家族的一种遗传病的系谱,据图回答下列问题:

 

  (1)该病属于         染色体上的上       性遗传病;

  (2)9号个体为杂合体的概率为      

  (3)如果9和10近亲结婚,子女中患病孩子的概率为         

    (4)据调查,某地区这种遗传病患者占人群的万分之一。试测算,该地区这种遗传病基因的携带者约占人群的         %。

27.(16分)I.下图甲为缩手反射相关结构,图乙是图甲中某一结构的亚显微结构模式图。请分析回答:

  (1)甲图中f表示的结构是       ,乙图中的B是下。个神经元的      

  (2)缩手反射时,从A传到B的信号物质是         。兴奋不能由B传到A的原是                

  (3)已知A释放的某种物质可使B兴奋,当完成一次兴奋传递后,该种物质立即被分解。某种药物可以阻止该种物质的分解,这种药物的即时效应是     

  (4)某同学参加体检过程中,当采血针刺向手指时,缩手反射并未发生,这说明了              

  (5)兴奋通过突触的速度比在神经纤维上的速度要慢得多,分析兴奋通过突触迷度变慢的原的过程需要相当长的时间(约0.5-l毫秒)。

  (6)假设效应器是一块肌肉,现切断c处,分别用足够强睁电流刺激e、b两处,则会发生收缩的是刺激处。

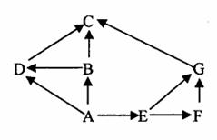
  Ⅱ.在下列食物网中

  (1)若A同化10000kg有机物,则C最多可增加体重       kg。

  (2)若C的食物有2/3来自B,1/3来自G,且G的食物有2/5来自E,3/5来自F,则C增加6kg体重,生产者A最少要同化       kg有机物。

  (3)G与F之间存在        的种关系。

  (4)该食物网中存在         条食物链

28.(14分)沉淀的生成、溶解和转化在无机物制各和提纯以及科研等领域有广泛应用。

己知25℃时,Ksp(BaSO4)=l×10-10,Ksp(BaCO3)=1×l0-9

  (1)将浓度均为0.1mol/L,的BaCl2溶液与Na2SO4溶液等体积混合,充分搅拌后过滤,滤液中c(Ba2+)=      mol/L。

  (2)医学上进行消化系统的X射线透视时,常使用BaSO4作内服造影剂。胃酸很强(pH约为1),但服用大量BaSO4仍然是安全的,BaSO4不溶于酸的原因是(用溶解平衡原理解释)        。万一误服了少量BaCO3,应尽快用大量0.5mol/LNa2SO4溶液给患者洗胃,如果忽略洗胃过程中Na2SO4溶液浓度的变化,残留在胃液中的Ba2+浓度仅为          mol/L

    (3)随着人类对温室效应和资源短缺等问题的重视,如何降低大气中CO2的含量及有效地开发利用CO2,引起了各国的普遍重视。目前工业上有一种方法是用CO2来生产燃料甲醇。为探究反应原理,现进行如下实验,在体积为1 L的密闭容器中,充入lmol CO2和3mol H2,一定条件下发生反应:

CO2(g)+3H2(g)    CH3OH(g)+H2O(g)

△H=-49.0kJ/mo1.测得CO2和CH3OH(g)

的浓度随时间变化如图所示。

①   从反应开始到平衡,氢气的平均反应速率

②   v(H2)=    mol/(L·min)。

②该反应的平衡常数表达式为     

③下列措施中能使n(CH3OH)/n(CO2)

增大的是     

        A.升高温度                       B.充入He(g),使体系压强增大

C.将H2O(g)曲从体系中分离         D.再充入lmol CO2和3mol H2

 

 

  (4)常温下,某水溶液M中存在的离子有:Na+、A-、H+、OH-。若该溶液M由 pH=3的HA溶液mL与pH=11的NaOH溶液mL混合反应而得,则下列说法中正确的是            (填字母)。

       A.若溶液M呈中性,则溶液M中c(H+)+c(OH-)=2×l10-7mol·L-1

        B.若V1=V2,则溶液M的pH一定等于7

       C.若溶液M呈酸性,则V1一定大于V2

       D.若溶液M呈碱性,则V1一定小于V2

  29.(12分)铅蓄电池是最常见的二次电池,它由两组栅状极板交替排列而成,极板上分别覆盖有Pb和PbO2电解质是H2SO4溶液。

  (1)铅蓄电池放电时,其中一个电极的反应如下:

PbO2+4H++SO42-+2e-=PbSO4+2H2O

该电极是       (填“正极”或“负极”)。

另一个电极的反应为    

  (2)铅蓄电池充电时,总反应的化学方程式为   

  (3)使用铅蓄电池做电源,电解饱和食盐水的装置

如图所示,若收集的H2为4.48 L(标准状况下),

则同样条件下收集的Cl2     (填“>”、“=”

或“<”)4.48 L(标准状况下),原因是     ,则铅蓄电池中参加反应的H2SO4质量为       

  30.(16分)从铝土矿(主要成分是A12O3,含SiO2、Fe2O3、MgO等杂质)中提取氧化铝的两种:工艺流程如下:

请回答下列问题:

   (1)氯化铁溶液常用作印刷电路铜板腐蚀剂,反应的离子方程式是     

高温
 

  (2)磁铁矿是工业上冶炼铁的原料之一,其原理是Fe3O4+4 CO    3Fe+4CO2,若有1.5 mol Fe3O4参加反应,转移电子的物质的量是     ;写出检验滤液B中是否含铁离子的试剂     

  (3)钛(Ti)被称为继铁、铝之后的第三金属。

已知:(1)Mg(s)+C12(g)=MgCl2(s)  △H=-64l kJ·mol

②Ti(s)+2C12(g)=TiCl2(s)   △H=-770kJ ·mol

则2Mg(s)+TiCl4(s)=2MgCl2(s)+Ti(s)  △H=      

  (4)滤液E中溶质的俗名是         ,固体X的成分     (填化学式)。

    (5)下面是中学化学中常用实验装置图(根据需要可在其中加入溶液或固体)。

     回答下列问题:

能用作干燥氨气的装置有        (填字母,下同);既能用于收集C12又能用于收集NO气体的装置有         ;SO2是一种污染气体,用NaOH溶液作为试剂,应选装置        吸收多余的SO2;简述E装置的气密性检验方法:  

  [选做部分]

31.(8分)[化学-有机化学基础]

     芳香族化合物在生产生活中有广泛的用途。  

  (1)实验室一试剂瓶标签严重破损,只能隐约看到一部分:

取该试剂瓶中的试剂,通过燃烧实验测得:16.6g该物质

完全燃烧得到39.6g CO2与9gH2O。通过计算可知该有机物

的分子式为:      。又知该物质能与碳酸氢钠溶液

反应生成无色无味气体,据此     (填“能”或“不

能”)确定该有机物的结构。

  (2)滴露是一种常用消毒剂。它的主要成分结构如右图l:

     它具有的官能团的名称:        ;该分子在核磁

共振氢谱图中所显示出的峰面积比为      

32.(8分)[生物-现代生物科技专题]

     美国及日本两个研究团队的报告中证实皮肤细胞经过“基因直接重组”后可以转化成为具有胚胎干细胞特性的细胞。这项发现解决了利用胚胎进行干细胞研究的道德争议,另一方面也使得干细胞研究的来源更广泛。请回答下列有关问题。

  (1)人类的胚胎发育过程中,细胞分化开始于       阶段。

  (2)胚胎工程中的胚胎移植实际上是生产胚胎的       和孕育胚胎的     共同繁殖后代的过程。

  (3)美日科学家利用病毒分别将四个基因导入皮肤细胞,促使普通的反肤细胞产生变化,最后成为带有胚胎干细胞性质的细胞。在基因工程中,这四个基因称为      ,病毒称为      ,在基因工程中常用的工具酶有           

  (4)如果要在体外大量复制这四个基因,应使用的技术为         

在此过程中用到的酶为        

33.(8分)[物理用必考内容替代]

如图所示,在与水平面成角的平面内放置两条平行、光滑且足够长的金属轨道,其电阻可忽略不计。空间存在着匀强磁场,磁感应强度B=0.20 T,方向垂直轨道平面向上.导体棒ab、cd垂直于轨道放置,且与金属轨道接触良好构成闭合回路,每根导体棒的质量m=2.0×10-1kg,回路中每根导体棒电阻r=5.0×10-2Ω,金属轨道宽度国l=0.50 m.现对导体棒ab施加平行于轨道向上的拉力,使之匀速向上运动.在导体棒ab匀速向上运动的过程中,导体棒甜始终能静止在轨道上.g取10 rn/s2,求:

    (1)导体棒ab运动的速度大小:

  (2)拉力对导体棒ab做功的功率.

34.(8分)[物理用必考内容替代]

  有一种角速度计可以测量航天器的转动角速度,其结构如图所示,角速度计固定在待测装置上,当装置绕竖直轴,转动时,元件A在光滑杆上发生位移并输出电压信号,成为航天器制导系统的信息源.已知A的质量为,弹簧的劲度系数为,自然长度为,电源的电动势为E,当系统以角速度转动时,求U与的函数关系:并讨论该函数成立的条件。

试题详情


同步练习册答案