题目列表(包括答案和解析)

 0  124182  124190  124196  124200  124206  124208  124212  124218  124220  124226  124232  124236  124238  124242  124248  124250  124256  124260  124262  124266  124268  124272  124274  124276  124277  124278  124280  124281  124282  124284  124286  124290  124292  124296  124298  124302  124308  124310  124316  124320  124322  124326  124332  124338  124340  124346  124350  124352  124358  124362  124368  124376  447348 

20.光滑平行导轨水平放置,导轨左端通过开关S与内阻不计、电动势为E的电源相连,一根质量为m的导体棒ab,用长为l的绝缘细线悬挂,悬线竖直时导体棒恰好与导轨良好接触且细线处于张紧状态,如图所示,系统空间有匀强磁场.当闭合开关S时,导体棒被向右摆出,摆到最大高度时,细线与竖直方向成角,则   (   )

A.磁场方向一定竖直向下

B.磁场方向竖直向下时,磁感应强度最小

C.导体棒离开导轨前通过棒的电量为

D.导体棒离开导轨前电源提供的电能大于mgl(1 – cos)

试题详情

19.如图所示,一个质量为m、带电量为q的物体处于场强按E = E0kt(E0k均为大于零的常数,取水平向左为正方向)变化的电场中,物体与竖直墙壁间的动摩擦因数为,当t = 0时,物体处于静止状态.若物体所受的最大静摩擦力等于滑动摩擦力,且电场空间和墙面均足够大,下列说法正确的是                 (   )

A.物体开始运动后加速度先增加后保持不变

B.物体开始运动后加速度不断增加

C.经过时间,物体在竖直墙壁上的位移达最大值

D.经过时间,物体运动速度达最大值

试题详情

18.生活中处处用电,而我们需要的电都是通过变压器进行转换的,为了测一个已知额定电压为100V的灯泡的额定功率,如图,理想变压器的原、副线圈分别接有理想电流表A和灯泡L,滑动变阻器的电阻值范围时0-100Ω不考虑温度对灯泡电阻的影响,原、副线圈的匝数比为2:1,交流电源的电压为U0=440V,适当调节滑动变阻器的触片位置,当灯泡在额定电压下正常工作时,测得电流表A的示数为1.2A,则    (   )

A.灯泡的额定功率为40W

B.灯泡的额定电流为2.4A

C.滑动变阻器上部分接入的电阻值为50Ω

D.滑动变阻器消耗的电功率为240W

试题详情

17.两个相同的白炽灯L1L2,接到如图所示的电路中,灯L1与电容器串联,灯L2与电感线圈串联,当ab处接电压最大值为Um、频率为f的正弦交流电源时,两灯都发光,且亮度相同。更换一个新的正弦交流电源后,灯L1的亮度高于灯L2的亮度。新电源的电压最大值和频率可能是                 (   )

A.最大值仍为Um,而频率大于f

B.最大值仍为Um,而频率小于f

C.最大值大于Um,而频率仍为f

D.最大值小于Um,而频率仍为f

试题详情

16.刹车距离是衡量汽车安全性能的重要参数之一。图中所示的图

线1、2分别为甲、乙两辆汽车在紧急刹车过程中的刹车距离s

与刹车前的车速v的关系曲线,已知紧急刹车过程中车与地面

间是滑动摩擦。据此可知,下列说法中正确的是   (   )

A.甲车的刹车距离随刹车前的车速v变化快,甲车的刹车性能好

B.乙车与地面间的动摩擦因数较大,乙车的刹车性能好

C.以相同的车速开始刹车,甲车先停下来,甲车的刹车性能好

D.甲车的刹车距离随刹车前的车速v变化快,甲车与地面间的动摩擦因数较大

试题详情

15.如图,竖直环A半径为r,固定在木板B上,木板B放在水平地面上,B的左右两侧各有一档板固定在地上,B不能左右运动,在环的最低点静放有一小球C,A、B、C的质量均为m。给小球一水平向右的瞬时速度V,小球会在环内侧做圆周运动,为保证小球能通过环的最高点,且不会使环在竖直方向上跳起,瞬时速度必须满足  (   )

  A.最小值     

  B.最小值 

  C.最大值     

  D.最大值

试题详情

14.用比值法定义物理量是物理学中一种重要的思想方法,下列物理量的表达式不属于用比值法定义的是                 (   )

A.加速度            B.功率         

C.速度             D.加速度

试题详情

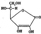
13.维生素C(Vitamin C,Ascorbic Acid)又叫L一抗坏血酸,是一

种水溶性维生素。它是人体必需的一种维生素,人体若长期缺

乏维生素C,易患坏血病。已知维生素C具有酸性和较强的还

原性,加热或在溶液中易被氧化分解,在碱性条件下更易被氧

化,维生素C的结构简式如图所示。下列有关维生素C的说法

不正确的是                   (   )

A.维生素C是一种羧酸,常温时其水溶液的pH<7

B.1 mol维生素C和足量钠反应最多可生成2 mol H2

C.向KMnO4溶液中滴入维生素C溶液,可观察到溶液紫红色消失

D.一定条件下,维生素C既能和稀硫酸反应,又能和醋酸反应

试题详情

12.设NA 代表阿伏加德罗常数的数值,下列说法中正确的是           (   )

①常温常压下,17g 甲基(-14CH3)所含的中子数为9NA

②常温常压22.4L NO气体的分子数小于NA

③ 64g的铜发生氧化还原反应,一定失去2NA个电子

④常温常压下,100mL 0.5的乙酸溶液中,乙酸的分子数目小于0.05NA

⑤标况时,22.4L二氯甲烷所含有的分子数为NA

⑥常温常压下,1 mol氦气含有的核外电子数为 4NAk-s-5+u

A.①②      B.③④      C.②④      D.⑤⑥

试题详情

11.下列说法正确的是                           (   )

  A.25℃时,pH为9的Na2CO3溶液和pH为5的NaHSO4溶液中,水的电离程度相同

  B.在含有Al3+的KNO3溶液中,可通过加热的方法除去Al3+,证明盐的水解是吸热反应

  C.已知HF的酸性比HCN的酸性强,则等体积等浓度NaF和NaCN两溶液中阳离子的物质的量之和相等

  D.等物质的量浓度的 ① NH4Cl ② NH4HSO4 ③ Na2S ④ NaNO3 ⑤ (NH4)2SO4 ,

其pH由大到小的排列为③>④>⑤>①>②

试题详情


同步练习册答案