题目列表(包括答案和解析)

 0  133758  133766  133772  133776  133782  133784  133788  133794  133796  133802  133808  133812  133814  133818  133824  133826  133832  133836  133838  133842  133844  133848  133850  133852  133853  133854  133856  133857  133858  133860  133862  133866  133868  133872  133874  133878  133884  133886  133892  133896  133898  133902  133908  133914  133916  133922  133926  133928  133934  133938  133944  133952  447348 

3、:阿基米德原理的得出和应用。

阿基米德原理适用于所有液体和气体。公式F浮=G排=ρVg,决定因素是ρ和V排,

用称重法测量浮力大小得出阿基米德原理。

试题详情

2、:增大和减小压强的方法。

  (1)当压力不变时,受力面积越大,压强越小;受力面积越小,压强越大。

(2)当受力面积不变时,压力越大,压强越大;受力面积越小,压强越小。

要和日常生活一些常见的事例结合。

试题详情

1、有关压强的概念及计算。

首先要分清是液体压强还是固体压强然后选择适当的公式进行计算。若是液体求压强选用公式P=ρgh,求压力选用F=PS 。若是固体求压力一般情况下就用F=G,压强用公式P=F/S。关键是所求的物理量要对号入座。

试题详情

21、(07重庆市)小红同学在一支铅笔的下端粘上一块橡皮泥,将它分别置于甲、乙两杯液体中观察到静止时的情形如图所示,下列说法正确的是(  )

A.铅笔在甲杯液体中受到的浮力较大

B.铅笔在乙杯液体中受到的浮力较大

C.乙杯液体的密度较大

D.甲杯液体的密度较大

答案:C

点拨:在两杯液体中都处于漂浮状态,所以受到的浮力是相等的,根据公式F浮=ρ液V排g可知在甲杯中排开的液体的体积大,所以液体的密度小。

教学案例(二)[知能整体提升]

重点难点突破

重点一:有关压强的概念及计算。

首先要分清是液体压强还是固体压强然后选择适当的公式进行计算。若是液体求压强选用公式P=ρgh,求压力选用F=PS 。若是固体求压力一般情况下就用F=G,压强用公式P=F/S。关键是所求的物理量要对号入座。

重点二:增大和减小压强的方法。

  (1)当压力不变时,受力面积越大,压强越小;受力面积越小,压强越大。

(2)当受力面积不变时,压力越大,压强越大;受力面积越小,压强越小。

要和日常生活一些常见的事例结合。

重点三:阿基米德原理的得出和应用。

阿基米德原理适用于所有液体和气体。公式F浮=G排=ρVg,决定因素是ρ和V排,

用称重法测量浮力大小得出阿基米德原理。

重点四:浮力的应用。

 计算浮力首先判断物体的浮沉,有两种方法:一、用物体的浮沉条件,二、用ρ和ρ的大小关系即当ρ液=ρ时 物体悬浮 当ρ液〈ρ时物体下沉 当ρ〉ρ时物体上浮最终漂浮。然后再根据已知条件进行计算。另外轮船的排水量问题也是一个小重点。

考点题型探究

题型一:实验探究

(连云港市2008年)为了探究物体的浮沉条件,实验室提供了如下器材:弹簧测力计、量筒、烧杯、金属块、木块、细线、水及其他简单辅助器材。

  第一小组:探究金属块的下沉条件。实验中,他们用两种方法测量了物体受到的浮力:

    方法1:称重法。测量过程及示数如图(甲)所示,则金属块所受的浮力为  N。

    方法2:阿基米德原理法。测量过程与示数如图(乙)所示,则排开水的体积为

        mL,根据FGρVg可计算出浮力。

  第二小组:探究木块上浮的条件。要测量木块浸没时的浮力,你准备选用上述两方法中的方法   (选填“1”或“2”),并简要说明操作中还应采取的措施:    

答案:0.2  20 2  将细线换为大头针将木块压入水中

点拨:本题考查了浮力的计算方法和在实验过程中的注意事项。

[针对练习]

(山西省太原市2008年)小明和小华分别利用重为1N的橡皮泥、弹簧测力计、细线、烧杯和水等器材探究浮力大小与物体形状的关系。他们将

各自的橡皮泥依次捏成圆锥体和圆柱体进行实验,实验过程及

相关数据如图10所示。请你解答下列问题:

(1)图A中橡皮泥所受浮力的大小为_____N。

(2)他们经过交流发现实验结论不一致,你认为_____的实验

方案得出的结论更可靠,另一方案得出的结论不可靠的主要原

因是_______________________________。

(3)在初中物理学习中与上述实验方法相同的实验有________________。(只举一例)

答案:(1)0.4(2)小华 浸入液体的深度不能很好的控制相同(3)探究液体压强的影响因素。

点拨:本题考查了称重法求浮力,以及我们做实验的能力和控制变量法的正确应用。

题型二:计算

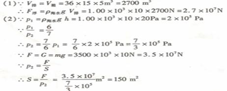
(08年柳州市、北海市)2007年12月26日,沉睡海底800多年的“南海一号”古沉船被打捞船用起重机成功吊起。起吊前,先用一个长方体形状的箱子将古船密封在内,称之为沉箱。该沉箱长36m、宽15m、高5m,沉箱被吊离水面后,由水平地面上16个气囊垫着,此时,包裹着古船的沉箱已完全脱离起重机钢绳的作用,它的总质量为3500t(海水的密度近似取1.00×103kg/m3,g取10N/kg)。

  (1)沉箱浸没在海水中受到的浮力多大?

  (2)设20m深的海水产生的压强p1与沉箱对气囊的压强p2之比为6:7,则16个气囊与沉箱的接触面积为多大?

答案:

点拨:根据已知条件可以选择公式F浮=ρ液V排g来计算浮力的大小,所以要先求出排开液体的体积,以及液体压强的计算。

[针对练习]

(巴中市2008年)用一弹簧测力计挂着一实心圆柱体,圆柱体的底面刚好与水面接触(未浸入水)如图甲,然后将其逐渐浸入水中,如图16乙是弹簧测力计示数随圓柱体逐渐浸入水中的深度变化情况,求:(g取10N/kg)

(1)圆柱体受的最大浮力。

(2)圆柱体刚浸没时下表面受到的液体压强。

 (3)圆柱体的密度。

答案:

点拨:理解题意的同时要注意图像在题目中的作用以及图像的横竖轴的物理量,且要选择好浮力的计算公式。

考点方法总结:

试题详情

20、(2008年浙江省)北京奥运会有一大批高科技设备投入使用。奥运会帆船比赛使用的水上浮标,该浮标质量为2000千克,能测量风速、风向、温度、湿度、气压、海流等数据。

(1)该浮标调试完毕后,由起重机吊至运输船,运往指定水域投入使用。如果起重机将浮标匀速举高6米,则起重机对浮标做了多少功?(g取10牛/千克)

(2)浮标漂浮在水面上,其受到的浮力大小         重力大小。(选填“大于”、“小于”或“等于”

答案:120000J  等于

点拨:无论是多重的物体只要是漂浮在水面上,受到的浮力一定等于其重力,在掌握好基础知识的同时不要受到题目条件的影响。

试题详情

19、(2008年无锡市)金属箔是由密度大于水的材料制成的。小红取一片金属箔做成中空的筒,放在盛有水的烧杯中,发现它漂浮在水面上,然后她再将此金属箔揉成团放入水中,金属箔沉入水底。比较前后两种情况,下列说法正确的是(  ) 

A.金属箔漂浮时受到的重力比它沉底时受到的重力小

B.金属箔漂浮时受到的浮力比它沉底时受到的浮力大

C.金属箔沉底时受到的浮力等于它的重力

D.金属箔沉底时排开水的体积与它漂浮时排开水的体积相等

答案:B

点拨:金属箔漂浮时受到的浮力等于它本身的重力,金属箔下沉时受到的浮力小于它本身的重力。当然这两次排开水的重力也是不相同。

试题详情

3、浮力的应用:轮船、潜水艇、气球和飞艇。

考点探究

[例9](08年上海市)重为9.8N的木块漂浮在水面是且保持静止,木块所受浮力的大小为_______N,浸在水中的体积为___________m3

[解析]  物体的浮沉条件:漂浮F浮=G 判断浮力大小再由F==ρVg,变形求解v排。

[答案] 9.8N,10-3

[点拨]  熟练的综合运用物体的浮沉条件和阿基米德原理求解有关浮力问题。

[例10](08南充市)一艘轮船从海里驶人河里,它受到的浮力    ,它排开水的体

     (两空均选填“变大”。“变小”或“不变”)

[解析]  轮船漂浮在水面上浮力不变,而海水的密度大于河水的密度。

[答案] 不变,变大

[点拨] 浮力在日常生活中的应用结合有关浮力知识求解。

考点应用

试题详情

2、比较物体所受浮力的大小;

试题详情

1、物体的浮沉条件;

试题详情

18、(广安市2008年)如图所示是研究浮力与哪些因素有关的实验,弹簧测力计下挂着同一物体,示数依次是5N,4N、4N、3N。

  (l)比较图乙和丙得到的结论是:浸没在液体里的物体所受浮力的大小与    无关。

  (2)比较图    和图    可得到的结论是:浮力的大小与液体的密度有关。

答案:

点拨:浮力的大小只与液体的密度和排开液体的体积有关,跟在液体中的深度是没有关系的。

考点7:浮力的应用

考点归纳 

试题详情


同步练习册答案