题目列表(包括答案和解析)

 0  134472  134480  134486  134490  134496  134498  134502  134508  134510  134516  134522  134526  134528  134532  134538  134540  134546  134550  134552  134556  134558  134562  134564  134566  134567  134568  134570  134571  134572  134574  134576  134580  134582  134586  134588  134592  134598  134600  134606  134610  134612  134616  134622  134628  134630  134636  134640  134642  134648  134652  134658  134666  447348 

1.经济学家预言,新一轮科技革命领域将是能源、环境和信息,下列说法正确的是

A.煤、石油、天然气是不可再生能源

B.光是清洁卫生的,城市建设可随意使用玻璃幕墙

C.光纤通信和电话机通信原理是完全一样的

D.卫星通信是利用中波传递信息的

试题详情

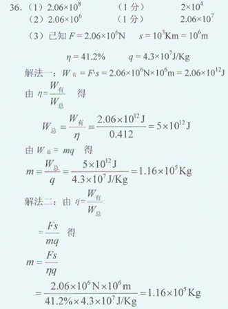
36.(10分)如图所示是我国最大的海运货轮“景山6号”,它的排水量是2.06×104t,当货轮满载且以36km/h的速度匀速直线航行时,货轮受到的阻力为船和货物的总重的0.01倍(海水的密度为1.03×103kg/m3,g取10N/kg)。求:(第(1)、92)两问不用书写计算过程)。

(1)船和货物总重为     N,排开海水的体积是      m3.

(2)货轮的牵引力是     N,牵引力的功率是     W。

(3)货轮以36km/h的速度匀速直线航行时,其柴油机动力系统的效率为41.2%,柴油的热值q=4.3×107J/kg。问:货轮航行103km需要燃烧多少千克柴油?(计算结果用科学计数法表示,且保留三位有效数字)。

试题详情

35.(6分)右图是孝感市白兆山宾馆的太阳能路灯,其顶层部是太阳能电池板,下方是“220V 40W”的电子节能灯。夏天,太阳光照射一天可使节能灯正常工作10h。求:

(1)节能灯正常工作的电流为多大?(计算结果保留两位小数)

(2)夏天,太阳光照射一天该路灯将太阳能转化成的电能是多少?

 

试题详情

32.(10分)小明用如图甲、乙、丙的步骤探究摩擦力的大小与哪些因素有关。

(1)实验中,他应将弹簧测力计沿   方向拉动木块,使木块在水平面上做  运动,并记下弹簧测力计的示数。

(2)比较步骤    可得:摩擦力的大小跟作用在物体表面上的压力有关,且压力越大,摩擦力越大。

比较步骤甲与丙可得:摩擦力的大小跟接触面的   有关,且接触面越  ,摩擦力越大。

(3)小明在实验中还发现:在木块还没有被拉动的情况下,弹簧测力计仍然有示数,且示数逐渐增大,直到拉动木块为止。该现象表明:物体在静止时也可能受到   力的作用,且该力有大小与 力的大小有关。

(4)上学路上,小明看见一辆汽车陷进了泥坑里,司机将一些稻草塞进后轮底下,汽车很快就爬上来了,这是利用增大     的方法增大摩擦力。

(1)水平;(2)甲;乙;粗糙程度;粗糙;(3)摩擦;拉;(4)接触面的粗糙程度。

试题详情

31.(10分)小红和李强各自用如图甲所示的电路测量小灯泡的电阻,图乙是他们使用的实验器材,两人分别测量的小灯泡规格完全相同,均标有“2.5V”字样。

(1)  根据图甲,请在答题卡的实物图上用笔画线代替导线,将电路连接完整(导线不交叉)

(2)  小红正确连接电路闭合开关后,发现灯泡不亮,电流表无示数,电压表示数接近电源电压3V,出现故障的原因可能是  

A.灯泡短路 B.灯泡断路 C.电压表短路 D.电流表断路

(3)排除故障后,他们正确测量了相关数据,并对数据进行了初步处理,如下表和图丙所示。

分析李强同学的数据图像可知:李强所测的小灯泡正常发光时的电阻值为  Ω。

(4)该实验电路还能测量小灯泡的   

(1)如图所示。(2)B。(3)10-10.2(4)电功率。

试题详情

30.(10分)下面的实验你一定做过或看老师演示过,请回答其中的问题

(1)实验A:物体的质量为   g。

(2)实验B:实验时,首先调节        ,使杠杆在水平位置平衡;当左侧钩码处于图示位置A时,应将右侧的钩码向  移动,使杠杆在水平位置平衡。

(3)实验C:通过观察和比较电磁铁A与B        ,可以得出电磁铁磁性的强弱与线圈的匝数有关;电磁铁B的下端是  极;要使电磁铁B吸引更多的大头针,滑动变阻器的滑片P应向  端移动(选填“左”或“右”)。

(4)实验D:小车从光滑斜面顶端由静止开始滑到斜面底端的过程中,小车的  能转化为  能;小车滑到平面上还能继续向前运动,这是因为小车具有  性。

(1)48;(2)平衡螺母,右;(3)吸引大头针的多少;S;左;(4)重力势;动;惯)

试题详情

25.关于电磁波及其应用,下列说法中不正确的是

A.电磁波在真空中传播的速度与光速相同

B.移动电话只能接收电磁波,不能发射电磁波

C.用三颗地球同步卫星就可以实现全球通信

D.无线电波中,长波的频率小于短波的频率

试题详情

24.右图是某家庭电路的一部分,其中甲、乙两处分别装有电灯或开关.对此电路,下列说法不正确的是

A.火线上的保险丝应该改装到零线上

B.甲处应装开关,乙处应装电灯

C.电路中使用的用电器增多时,通过保险丝的电流就增大

D.电路中使用的用电器增多时,保险丝熔断的可能性就变大

试题详情

23.右图是探究声现象的实验装置,下列实验现象中不正确的是

A.音叉振动时,乒乓球被弹开

B.听到的声音越大,乒乓球被弹得越远

C.敲音叉的力越大,听到的音调就越高

D.音叉发出的声音是由空气传播到人耳的

试题详情

22.如右图所示,一个装水的密封杯子放在水平桌面上(图甲),若将杯子倒过来(图乙),则

A.杯子对桌面的压强不变 B.杯子对桌面的压强变大

C.水对杯底的压强不变  D.小对杯底的压强变小

试题详情


同步练习册答案