题目列表(包括答案和解析)

 0  157856  157864  157870  157874  157880  157882  157886  157892  157894  157900  157906  157910  157912  157916  157922  157924  157930  157934  157936  157940  157942  157946  157948  157950  157951  157952  157954  157955  157956  157958  157960  157964  157966  157970  157972  157976  157982  157984  157990  157994  157996  158000  158006  158012  158014  158020  158024  158026  158032  158036  158042  158050  447348 

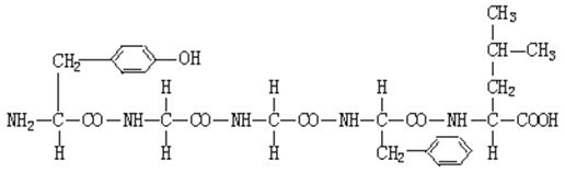
17、科院上海生化所于1982年5月合成了一种具有镇痛作用而又不会像吗啡那样使病人上瘾的药物--脑啡肽,下面是它的结构简式。(每共2分,共16分)

请根据此化合物的结构分析回答:

(1)该化合物为________肽化合物,含有_____种氨基酸,这些氨基酸的共同特征是____          _____.不同点在于          , 氨基酸的通式为__       

(2)只用图中所含这几种氨基酸各一个可以组成_______种4肽化合物,若将足量的上述几种氨基酸置于适宜的条件下,经缩合脱水形成的4肽化合物最多可能有_______种。可以看出,蛋白质的种类多种多样的主要原因_____        _ _        

试题详情

16、物细胞进行荧光标记实验,如下图所示,其基本过程:①用某种荧光染料标记该动物细胞,细胞表面出现荧光斑点。②用激光束照射该细胞表面的某一区域,该区域荧光淬灭(消失)。③停止激光束照射一段时间后,该区域的荧光逐渐恢复,即又出现了斑点。

上述实验能说明的是(   )

A.   细胞膜具有流动性

B.   荧光染料与细胞膜组成成分结合需要消耗能量

C.   根据荧光恢复的速率可推算出物质跨膜运输的速率

D.   根据荧光恢复的速率可推算出膜中蛋白质或脂质的流动速率

试题详情

15、下列关于物质跨膜运输的叙述,错误的是(   )

A.   植物细胞积累K+不需消耗能量

B.   细胞对离子的吸收具有选择性

C.   海水中的海藻细胞可通过积累溶质防止质壁分离

D.   液泡中积累大量离子,故液泡膜不具有选择透过性

试题详情

13 除病毒外,生物体都是由细胞构成的,这个事实不能说明的是(   )

A.生物界和非生物界具有统一性的一面   B.生物体的差异性

C.各种生物之间有一定的亲缘关系     D.细胞是生物体结构的基本单位

14、叙述正确的是 (   )

    A.脂肪可被苏丹IV染液染成橘黄色

    B. 用于鉴定蛋白质的双缩脲试剂A和B液要混合均匀后,再加入含样品的试管中,且要现配现用

    C.鉴定可溶性还原糖时颜色变化:蓝色-棕色-砖红色

D.脂肪的鉴定实验中需用显微镜才能看到被染成橘黄色的脂肪滴

试题详情

12、用分光光度计测定叶片中两类色素吸收不同波长光波的曲线图,请判定A和B 分别为何种色素                           

A.叶绿素、类胡萝卜素

B.类胡萝卜素、叶绿素

C.叶黄素、叶绿素a

D.叶绿素a、叶绿素b

试题详情

11、于光合作用和细胞呼吸的叙述,正确的是

A.光合作用产生的ATP主要用于细胞呼吸

B.叶肉细胞的线粒体基质、叶绿体基质的产物分别是二氧化碳、糖类

C.光合作用消耗水而细胞呼吸产生水 

D.光合作用与细胞呼吸分别在叶肉细胞和根细胞中进行

试题详情

10、细胞内ATP的描述,正确的是(  )

A.ATP主要在线粒体中产生       

B.细胞内储存有大量ATP,以满足生理活动所需   

C.细胞内的ATP和ADP的转变是可逆反应 

D.合成ATP所需的能量来自于细胞呼吸和激动时的出汗

试题详情

9、所示的两盆植物被完全密封,甲不透光,乙无色透明可透光。光照两小时后,其结果最可能是:

A.甲植物增重,装置内气体的量减少 

B.乙植物增重,装置内气体的量减少

C.甲植物减轻,装置内气体的量不变 

D.乙植物减轻,装置内气体的量不变

试题详情

8、示某植物光合作用速度与环境因素之间的关系,据图分析,下列不正确的是                  

A、甲图表示在光线弱的情况下,光合作用速率受光强度的限制

B、甲图可见,强光照下因光反应阶段受到限制光合作用速率不再增加

C、乙图中C点表示光照强度为B时,植物生长的最适温度

D.乙图出现CD段的原因是温度过高影响与光合作用有关的酶的活性

试题详情

7、植物在有氧呼吸时下列叙述正确的是          

A.全过程必须有氧参与,并且始终在线粒体中进行

B.第一阶段是葡萄糖分解成丙酮酸,产生大量的[H]和ATP

C.第二阶段是丙酮酸分解成CO2和H2O,产生[H]和ATP

D.第三阶段是[H]和氧结合产生H2O,同时生成大量的ATP

试题详情


同步练习册答案