题目列表(包括答案和解析)

 0  159054  159062  159068  159072  159078  159080  159084  159090  159092  159098  159104  159108  159110  159114  159120  159122  159128  159132  159134  159138  159140  159144  159146  159148  159149  159150  159152  159153  159154  159156  159158  159162  159164  159168  159170  159174  159180  159182  159188  159192  159194  159198  159204  159210  159212  159218  159222  159224  159230  159234  159240  159248  447348 

 推论1.物体作初速度为零的匀加速直线运动,从开始(t=0)计时起,在连续相邻相等的时间间隔(△t=1s)内的位移比为连续奇数比。即:

S1s∶S2s∶S3s…=1∶3∶5∶…

  例6.一个物体从塔顶作自由落体运动,在到达地面前最后1s内发生的位移是总位移的7/16,求塔高。(g取10m/s2)

  解:由位移的比例关系式,可求得物体第4s内的位移。

  即由S4s:S1s=7:1得S4s=7S1s

   4s内的总位移

S4=S1s+S2s+S3s+S4s

=S1s+3S1s+5S1s+7S1s

         =16S1s

 注意到物体在到达地面前1s内的位移是总位移的7/16,即

S4s/S4=7/16,

    可知物体下落的总时间t=4s,故塔高

 推论2.物体作匀加速(加速度为a)直线运动,它经历的两个相邻相等的时间间隔为T,它在这两个相邻相等的时间间隔内的位移差为△S,则有△S=aT2

 例7.有一个作匀加速直线运动的质点,它在两个连续相等的时间间隔内所发生的位移分别为10m和16m,时间间隔为2s,求该质点运动的加速度a。

 解:由△S=aT2可得

 推论3.物体作初速度为零的匀加速直线运动,从初始位置(S=0)开始,它通过连续相邻相等的位移所需的时间之比为

 例5.一粒子弹恰能穿过三块相同的固定的木板,设子弹在木板里运动的加速度恒定,则子弹分别穿过三块木板所用时间之比是多少?

 解:将子弹运动看成“反向”作初速度为零的匀加速运动。由时间的比例关系得:子弹分别穿过三块等厚的木板所用时间之比为

试题详情

 例5.一小划船以大小不变的划速v1在静水中从甲地到乙地,再立即从乙地返回甲地,往返总时间为t1;若河水流动,且水流速度恒定不变,大小为v2(≠0),该小划船以大小不变的划速v1从甲地顺流而下划至乙地,再立即逆流而上从乙地划向甲地。往返总时间为t2,则 [ ]

 A.t2一定大于t1

 B.t2一定等于t1

 C.t2一定小于t1

 D.t2不是等于t1就是小于t1

 解:可设想水流速度v2趋于无穷大,则船从甲地顺流而下划至乙地后,须经过无限长时间才能从乙地划至甲地,从而否定了选项B,C,D。本题的正确选顶是A。

试题详情

 研究物体运动必须选择参考系,根据问题的特点选择好参考系,能使解题大大简化。

 例4.有一升降机在向上作加速度为a=2.2m/s2的匀加速直线运动。某一时刻,有一颗螺钉从升降机的顶部脱落,若升降机顶部到底板的高度h=6m,求螺钉落到底板所需的时间。(空气阻力不计,g=9.8m/s2)

 解:设螺钉刚开始脱落时,升降机向上的速度为v,螺钉也具有向上的速度v,以升降机为参照物,螺钉相对升降机底板的初速度v0=0,螺钉相对升降机底板的加速度a=a+g=2.2+9.8=12m/s2,螺钉相对升降机底板的位移S=h=6m,由

 并注意到v0=0,可得

试题详情

 在空气阻力不计的情况下,竖直上抛运动有速度的对称性:抛体经任一高度时,上升和下落的速度大小相等,方向相反;时间对称性:抛体在通过任一段竖直距离时,上升和下落的时间相等。

 例3.一个从地面竖直上抛的物体,不计空气阻力,它两次经过一个较低点A的时间间隔是5s,两次经过一个较高点B的时间间隔是3s,则AB间距离为多少?(g=10m/s2)

 解:由竖直上抛运动的过程的对称性可知:抛体从最高点返回到A

试题详情

 例2.升降机由静止

 开始匀加速竖直上升2s, 速度达到4m/s后,匀速竖直上升5s,接着匀减速竖直上升3s才停下来。求升降机在题述过程中发生的总位移S=?

 解:依题意,作出升降机的速度一时间图线,如附图所示。梯形OABC的“面积”即等于题中所求的位移S。

 

试题详情

 例1.一物体在水平地面上由静止开始受到一水平拉力作用,匀加速前进10m后,撤去这个水平拉力,物体又向前滑行50m才停止。求该物体在这两个阶段中运动时间之比t1∶t2

 

   中的v为第一阶段的末速度,物体在第二阶段的平均速度为

   

试题详情

2.本题的v-t图如图2所示.设加速运动的时间为t',则由图线所对应的面积很容易列出关系式

 所以解题中应注意借助图线的形象思维.

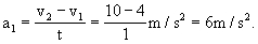
 [例10]一列货车以v1=28.8km/h的速度在平直铁路上运行.由于调度事故,在大雾中后面相距s0= 600m处有一列客车以v2=72km/h的速度在同一铁轨上驶来.客车司机发现货车后立即紧急制动,为不使两车相撞,客车的制动加速度至少多大?设货车速度不变.

 [分析]这里有两个研究对象:货车与客车.货车始终以v1做匀速直线运动,客车以v2为初速作匀减速运动.不致相撞时,客车和货车应同时满足位移条件(s≤s)和速度条件(v≤v).如图1.

 [解]以车行方向为正方向,设客车制动后的加速度大小为a2.由上述不相撞的条件得

 

 当制动加速度取最小值时,两个不等式可改为等式.由(2)式得客车速度减小到等于货车速度的时间

 代入(1)式,得

 

 整理后得

 

 以v1=28.8km/h=8m/s,v2=72km/h=20m/s,s0=600m代入得

 

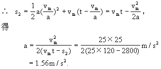
 [说明] 本题也可用v-t图求解.如图2所示,画出两车的速度图线.刚好相遇不相撞时,其中画有斜线的三角形面积数值上应等于s0,即

 上面的计算都是以地面为参照物的.如果改以货车为参照物,即站在货车上看后方的客车,客车制动后相对于它以初速(v2-v1)、加速度a2向它驶来,不相撞时,经位移s0后恰好静止(即与货车相对静止).于

 必须注意,相遇(追及)和相遇不相撞两者的物理条件不同.相遇时只需满足一个位移条件(例2);相遇不相撞还需同时满足速度条件,即后车的速度应不大于前车的速度,临界情况下两车速度相等.

 [例11]如图所示,一小滑块m从静止开始沿光滑斜面由A滑到C,经历的时间为t1,如果改由光滑曲面滑到C,则经历的时间为t2,关于t1和t2的大小 [ ]

 A.t1>t2 B.t1=t2

 C.t1<t2 D.已知条件不足,不能判定

 [分析]光滑曲面ADC是任意的曲面,就题目给出的已知条件,是无法利用运动学公式求出t1、t2比较其大小的,但可利用图象法来分析。

 滑块从A到C沿光滑斜面下滑,做初速为零的匀加速直线运动,沿光滑曲面ADC下滑时,在AD段加速度大于沿斜面下滑的加速度,在DC段又小于斜面上的加速度,但从A到C,它们的位移大小是相同的,且到C点的速率相等。

 做出v-t图来,定性地讨论

 [解答]正确答案为A

 [说明]本题是一例涉及复杂运动过程的物理量的定性比较,由于物理过程复杂,难以写出其定量表达式,而题目也没有要求一定要写出二者的定量表达式,只要求比较两个物理量的大小,在这种情况下,用几何方法(图象)来定性或半定量分析,往往有奇效。解决物理问题的过程是一种创造性思维过程,如能针对问题特点灵活、巧妙地运用所学知识和技能,创造性地解决问题,方能称得上学习的高境界。

 [例12]如图1所示,在平直公路上一汽车的速度为15m/s,从某时刻开始刹车,在阻力作用下,汽车以2m/s2的加速度做匀减速直线运动,问刹车后第10s末车离刹车点多远?

 [分析]汽车做匀减速运动的加速度是由于受滑动摩擦力产生的,当汽车刹车,vt=0时,汽车静止,不再受摩擦力,因此a=0,汽车不能反向做加速运动,将一直静止下去。

 对于这类汽车刹车问题,解题的关键是要知道汽车刹住所需要的实际时间,在这段时间内汽车做匀减速运动,超过这段时间,汽车已处于静止。

 [解]

 方法一:根据vt=0计算刹车需要的时间t

vt=v0-at

0=15-2t, t=7.5s

 计算表明t<10s 因此2.5s车是停着的,所以刹车距离s为

 

 方法二:

 作v-t图象(图2所示),可得刹车时间t=7.5s,刹车距离s可用图中三角形面积表述,如图2所示。

  

 [说明]由此可见,要正确地解答物理问题不能乱套公式,必须认真审清题,理解题目中真实物理图景,在此基础上选择合适的物理公式才行。

 [例13]A、B两车在一条水平直线上同向匀速行驶,B车在前,车速v2=10m/s;A车在后,车速72km/h,当A和B相距100m时,A车用恒定的加速度a减速,求:a=? A车与B车相遇时不相撞。

 [分析]A车追上B车,相遇而不相撞的条件是A、B两车速度相等,从这个条件出发,作物理图景表述运动过程。

 [解]

 方法一:应用运动学公式求解

 

 方法二:利用平均速度公式

∵s1-s2=100m, ∴t=20s

v2=v1-at, a=0.5m/s2

 方法三:利用图象求解

 作v-t图象

 图中画阴影线的面积值表示A车车速由20降到10m/s时,A比B多走的位移,即s1-s2=100m

 

 方法四:选B车为参照物,用相对运动解,A相对于B的车速为10m/s,A以a减速,行驶100m“停下”跟B相遇而不相撞。

 方法五:用相对运动和v-t图综合求解,即只需研究图2中画阴影的三角形,三角形的竖直边为相对速度100m/s,由图可看出

 

 [说明]通过上述五种解法,比较全面地阐述了求解直线运动的方法和技巧,对解其他运动学问题有启迪作用,特别是利用v-t图象解题形象直观,方便简捷,是常采用的一种方法,方法四采用变换参照物的方法求解,方程式简单也是常用方法之一。

 [例14]两辆完全相同的汽车,沿水平直路一前一后匀速行驶,速度均为v0,若前车突然以恒定的加速度刹车,在它刚停住时,后车以前车刹车时的加速度开始刹车,已知前车在刹车过程中所行驶的路程为s,若要保证两车在上述情况中不相撞,则两车在匀速行驶时保持的距离至少应为 [ ]

 A.s B.2s C.3s D.4s

 [分析]要使两车不相撞,第二辆车也要在同一位置刹住(汽车重作质点)

 [解]正确答案为B

 [说明]在理想化的物理过程中,得到了物理概念和规律,但在解决具体问题时,过程往往是复杂的,在处理复杂问题时近似方法,实验方法,图象方法,分段研究方法等等将成为架起由基本的简单规律解决复杂问题的桥梁。

试题详情

2.利用速度图线很容易找出例6中的位移之比.如图2所示,从t=0开始,在t轴上取相等的时间间隔,并从等分点作平行于速度图线的斜线,把图线下方的面积分成许多相同的小三角形.于是,立即可得:从t=0起,在t、2t、3t、…内位移之比为

s1∶s2∶s3…=1∶4∶9…

 在第1个t、第2个t、第3个t、…内位移之比为

s∶s∶s∶…=1∶3∶5∶…

 [例7] 一辆沿平直路面行驶的汽车,速度为36km/h.刹车后获得加速度的大小是4m/s2,求:

 (1)刹车后3s末的速度;

 (2)从开始刹车至停止,滑行一半距离时的速度.

 [分析] 汽车刹车后作匀减速滑行,其初速度v0=36km/h=10m/s,vt=0,加速度a=-4m/s2.设刹车后滑行t s停止,滑行距离为S,其运动示意图如图所示.

 [解](1)由速度公式vt=v0+at得滑行时间:

 即刹车后经2.5s即停止,所以3s末的速度为零.

 (2)由位移公式得滑行距离.即

 

 设滑行一半距离至B点时的速度为vB,由推论

 [说明](1)不能直接把t=3 s代入速度公式计算速度,因为实际滑行时间只有2.5s.凡刹车滑行一类问题,必须先确定实际的滑行时间(或位移);(2)滑行一半距离时的速度不等于滑行过程中的平均速度.

 [例8] 一物体作匀变速直线运动,某时刻速度大小为v1 =4m/s,1s后的速度大小变为v2=10m/s,在这1s内物体的加速度大小 [ ]

 A.可能小于4m/s2 B.可能等于6m/s2

 C.一定等于6m/s2 D.可能大于10m/s2

 

 当v2与v1同向时,得加速度

 当v2与v1反向时,得加速度

 [答]B,D.

 [说明]必须注意速度与加速度的矢量性,不能认为v2一定与v1同向.

 对应于题中a1、a2 两情况,其v-t图见图所示.由图可知:当v2与v1同向时,其平均速度和1s内的位移分别为

 当v2与v1反向时,其平均速度和1s内的位移分别为

 [例9]摩托车的最大车速vm=25m/s,要在t=2min内沿着一条笔直的公路追上在它前面s0=1000m处正以v=15m/s行驶的汽车,必须以多大的加速度起驶?

 [分析]这里有两个研究对象:汽车和摩托车,.汽车始终做匀速直线运动,摩托车起动后先作匀加速运动,当车速达到其最大值前若还未追上汽车,以后便改以最大车速vm做匀速运动.追上时,两车经历的时间相等.其运动过程如图1所示.

 [解] 规定车行方向为正方向,则汽车在t=2min内的位移

s1=vt=15×120m=1800m,

 摩托车追上汽车应有的位移

s2=s0+s1=1000m+1800m=2800m.

 设摩托车起动后的加速度为a,加速运动的时间为t',改作以最大车速vm匀速追赶的时间为t-t',则

 [说明]1.不能由摩托车应有的位移s2=2800m直接按匀加速运动公式得出加速度

 因为摩托车有一极限车速,在这2min内并不是始终做加速运动的.

试题详情

9.一物体做直线运动,从ABC,又返回到B,其中AB=BC,若AB的平均速度为2m/s,从BC的平均速度为4m/s,从C返回到B的平均速度为4m/s,则:

(1)AC这段的平均速度;

(2)全程AC再返回B的平均速度。

试题详情

8.某物体沿一条直线运动:

(1)若在前1/3时间内的平均速度为6m/s,后2/3时间内的平均速度为9m/s,则全程的平均速度为______m/s;

(2)若在前1/3位移内的平均速度为4m/s,后2/3位移内的平均速度为6m/s,则全程的平均速度为_______m/s.

试题详情


同步练习册答案