题目列表(包括答案和解析)

 0  164466  164474  164480  164484  164490  164492  164496  164502  164504  164510  164516  164520  164522  164526  164532  164534  164540  164544  164546  164550  164552  164556  164558  164560  164561  164562  164564  164565  164566  164568  164570  164574  164576  164580  164582  164586  164592  164594  164600  164604  164606  164610  164616  164622  164624  164630  164634  164636  164642  164646  164652  164660  447348 

2.如图所示,在e、f间接上交流电源,保持电压最大值不变,使其频率增大,发现各灯的亮度变化情况是:灯1变暗,灯2变亮,灯3不变。则黑箱a、b、c中所接元件可能是(   )

A.a为电阻,b为电容器,c为电感线圈   B.a为电阻,b为电感线圈,c为电容器

C.a为电容器,b为电感线圈,c为电阻   D.a为电感线圈,b为电容器,c为电阻

试题详情

1. 下列说法不正确的一项是  (    )

A.话筒是一种常用的声传感器,其作用是将电信号转换为声信号

B.电熨斗能自动控制温度的原因是它装有双金属片温度传感器,这种传感器作用是控制电路的通断

C.电子秤所使用的测力装置是力传感器,它是把力信号转化为电压差信号

D.金属热电阻随温度的升高其阻值逐渐升高

试题详情

17.如图所示,一个被轴与曲线方程所围的空间中存在着匀强磁场.磁场方向垂直纸面向里,磁感应强度.正方形金属线框的边长是0.40m,电阻是0.1,它的一条边与轴重合.在拉力F的作用下,线框以10.0m/s的速度水平向右匀速运动.

试求:(1)拉力F的最大功率是多少?

(2)拉力F要做多少功才能把线框拉过磁场区?

试题详情

16.如图甲所示,一固定的矩形导体线圈水平放置,线圈的两端接一只小灯泡,在线圈所在空间内存在着与线圈平面垂直的均匀分布的磁场.已知线圈的匝数匝,电阻,所围成的矩形的面积,小灯光的电阻,磁场的磁感应强度随时间变化的规律如图13-1-8乙所示,线圈中产生的感应电动势瞬时值的表达式为,其中为磁感应强度的最大值,T为磁场变化的周期.不计灯丝电阻值随温度的变化.求:

(1)线圈中产生感应电动势的最大值.

(2)小灯泡消耗的电功率.

(3)在磁感应强度变化的时间内,通过小灯泡的电荷量.

试题详情

15.质量为60kg的消防队员,从一根竖直的长直轻绳上由静止滑下,经2.5s落地.轻绳上端有一力传感器,它记录的轻绳受到的拉力变化情况如图甲所示,取,消防队员下滑过程中

(1)最大速度和落地速度各是多少?

(2)在图乙中画出图象

(3)克服摩擦力做的功是多少?

.

试题详情

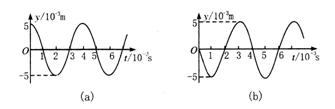
14.一列简谐波沿轴方向传播,已知轴上两处质点的振动图线分别如图(a)(b)所示,求此波的传播速度.

试题详情

13.如图所示,左侧的圆形导电环半径,导电环与一个理想变压器的原线圈相连,变压器的副线圈两端与一个电容为C=100pF的电容器相接,导电环的电阴不计,环中有垂直于圆环平面的变化磁场,磁场磁感应强度B的变化率为,若电容器C所带电荷量的最大值为,则所用理想变压器的原副线圈的匝数之比为    (取)

试题详情

12.如图所示,将多用表的选择开关置于欧姆挡,再将电表的两支表笔分别与光敏电阻的两端相连,这时表针恰好指在刻度盘中央.若用不透光的黑纸包裹起来,表针将向    (填“左”或“右”)转动;若用手电筒光照射,表针将向    (填“左”或“右”)转动。

试题详情

11.如图所示,A处放一频率为40Hz的音叉,经过橡皮管ACB和ADB连通到B处,在B处完全听不到音叉振动的声音,已知管ACB的长度为0.4m,声音在空气中传播速度为320m/s,那么管ADB的长度至少为    米(且ACB<ADB长度)

试题详情

10.在电梯中,把一重物置于台秤上,台秤与力传感器相连,电梯从静止加速上升,然后又匀速运动一段时间,最后减速直至停止运动.在此过程中传感器的屏幕上显示出其所受压力与时间关系的图象如图所示,则(  )

A.电梯经历了4s的加速上升过程

B.电梯在时间内匀减速上升

C.电梯加速和减速时加速度的最大值相等

D.在时间内电梯的机械能不变

试题详情


同步练习册答案