题目列表(包括答案和解析)

 0  166515  166523  166529  166533  166539  166541  166545  166551  166553  166559  166565  166569  166571  166575  166581  166583  166589  166593  166595  166599  166601  166605  166607  166609  166610  166611  166613  166614  166615  166617  166619  166623  166625  166629  166631  166635  166641  166643  166649  166653  166655  166659  166665  166671  166673  166679  166683  166685  166691  166695  166701  166709  447348 

15、如图所示,物体AB相对静止,共同沿斜面匀速下滑,则(  ) 

A.A、B间无静摩擦力

B.B受斜面间滑动摩擦力的作用,大小为­­

C.B与斜面间的动摩擦因数

D.斜面受B施加的滑动摩擦力的作用,方向沿斜面向下

2010~2010学年度第二学期期末

              高二年级物理试卷

 

卷Ⅱ(非选择题 共50分)

试题详情

13、如图所示,放在水平桌面上的木块A处于静止状态,所挂的砝码和托盘的总质量为0.6 kg,弹簧测力计读数为2 N,滑轮摩擦不计.若轻轻取走盘中的部分砝码,使总质量减少到0.3 kg时,将会出现的情况是(g=10 m/s2)           ( )

A.弹簧测力计的读数将变小

B.A仍静止不动

C.A对桌面的摩擦力不变

D.A所受的合力不变

14(原创)、如图所示,内壁粗糙的半球形容器固定在水平面上,O为球心,一质量为m的小滑块,在水平力F的作用下恰好静止与P点。设滑块所受支持力为FN。OF与水平方向的夹角为θ,滑块的摩擦力为f。下列关系可能正确的是(   )

A.                    B.f=mgcosθ-Fsinθ

C.                    D.f=Fsinθ-mgcosθ

试题详情

12、如图所示,重80 N的物体A放在倾角为30°的粗糙斜面上,有一根原长为10 cm、劲度系数为1000 N/m的弹簧,其一端固定在斜面底端,另一端放置物体A后,弹簧长度缩短为8 cm,现用一测力计沿斜面向上拉物体,若物体与斜面间最大静摩擦力为25 N,当弹簧的长度仍为8 cm时,测力计读数不可能为      ( )

A.10 N           B.20 N

C.40 N                D.60 N

试题详情

11、L型木板P(上表面光滑)放在固定斜面上,轻质弹簧一端固定在木板上,另一端与置于木板上表面的滑块Q相连,如图所示。若P、Q一起沿斜面匀速下滑,不计空气阻力。则木板P 的受力个数为

A. 3     B.4     C.5     D.6

试题详情

10、如图所示,以匀速行驶的汽车即将通过路口,绿灯还有2 s将熄灭,此时汽车距离停车线18m。该车加速时最大加速度大小为,减速时最大加速度大小为 。此路段允许行驶的最大速度为,下列说法中正确的有(   )

 A.如果立即做匀加速运动,在绿灯熄灭前汽车可能通过停车线

 B.如果立即做匀加速运动,在绿灯熄灭前通过停车线汽车一定超速

 C.如果立即做匀减速运动,在绿灯熄灭前汽车一定不能通过停车线

 D.如果距停车线处减速,汽车能停在停车线处

试题详情

9、甲乙两车在一平直道路上同向运动,其图像如图所示,图中的面积分别为.初始时,甲车在乙车前方处。则下列说法正确的是                     (   )

  A.若,两车不会相遇

  B.若,两车相遇2次

  C.若,两车恰好相遇1次

  D.若,两车恰好相遇1次

试题详情

8、在地质、地震、勘探、气象和地球物理等领域的研究中,需要精确的重力加速度g值,g值可由实验精确测定.近年来测g值的一种方法叫“对称自由下落法”,它是将测g归于测长度和时间,以稳定的氦氖激光为长度标准,用光学干涉的方法测距离,以铷原子钟或其他手段测时间,能将g值测得很准,具体做法是:将真空长直管沿竖直方向放置,自其中O点向上抛小球又落到原处的时间为T2,在小球运动过程中经过比O点高HP点,小球离开P点到又回到P点所用的时间为T1,测得T1T2H,可求得g等于             ( )

A.           B.     C.      D.

试题详情

7、某实验装置将速度传感器与计算机相结合,可以自动作出物体运动的图象.某同学在一次实验中得到的运动小车的速度-时间图象如图所示,由此图象可知         ( )

A.小车先做匀加速运动,后做匀减速运动

B.小车运动的最大速度约为0.8m/s

C.小车的最大位移在数值上等于图象中曲线与t轴所围的面积

D.小车做曲线运动

试题详情

6、第29届奥运会已于2008年8月在北京举行,跳水比赛是我国的传统优势项目.某运动员进行10m跳台比赛时,下列说法正确的是(不计空气阻力)               ( )

A.为了研究运动员的技术动作,可将正在比赛的运动员视为质点

B.运动员在下落过程中,感觉水面在匀加速上升

C.前一半时间内位移大,后一半时间内位移小

D.前一半位移用的时间长,后一半位移用的时间短

试题详情

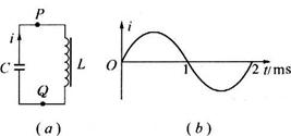
3、在右图所示的LC振荡电路中,通过P点的电流随时间变化的图线如图(b)所示,若把通过P点向右的电流规定为i轴的正方向,则(    )

A、0至0.5ms内,电容器C正在充电

B、0.5ms至1ms内,电容器上极板带正电荷

C、1ms至1.5ms内,Q点比P点电势高

D、1.5ms至2ms内磁场能在减少,磁感应强度增大

4(原创)、下列说法正确的是(   )

A、 按着汤姆孙的枣糕式模型来推断α粒子散射实验的实验现象,应该是所有的α粒基本都直线穿过金箔

B、 根据玻尔理论,氢原子的电子由外层轨道跃迁到内层轨道后,原子的能量减少,电子的动能减少

C、 波尔的原子模型彻底否定了卢瑟福的原子核式结构模型

D、 根据波尔理论,电子从高能态像低能态跃迁时需要释放能量

5(原创)、在2011年3月11日,日本发生了强达八级的地震,随之地震带来了海啸,导致日本福岛的核电站泄漏,很多对人体有害的放射性元素都泄漏到空气中,有些放射性元素随之放射出αβγ等射线,关于放射性知识,下列说法正确的是(  )

A、 发生α衰变时,生成核与原来的原子核相比,核内质量数减少2

B、 发生α衰变放出的氦核是由原子核内的两个质子和两个中子结合而成

C、 发生β衰变时,β粒子来源于核外电子,生成核与原来的原子核相比,核内中子数减少1

D、 在这三种射线中,γ射线的穿透能力最强,在真空中速度小于光速,电离能力较弱。

试题详情


同步练习册答案