题目列表(包括答案和解析)

 0  167130  167138  167144  167148  167154  167156  167160  167166  167168  167174  167180  167184  167186  167190  167196  167198  167204  167208  167210  167214  167216  167220  167222  167224  167225  167226  167228  167229  167230  167232  167234  167238  167240  167244  167246  167250  167256  167258  167264  167268  167270  167274  167280  167286  167288  167294  167298  167300  167306  167310  167316  167324  447348 

17.一列横波在x轴上传播,ts时刻与(t+0.4)s时刻在x轴上-3m-3m的区间内的波形如图中同一条图线所示,下列说法中正确的是

   A.该波最大波速为10m/s

B.质点振动周期的最大值为0.4s

C.在(t+0.2)s时,x=3m处的质点位移为零

D.在(t+0.2)s时,x=0处的质点一定处于波峰位置

试题详情

16.下列关于热现象的说法,正确的是

A.外界对物体做功,物体的内能一定增加

B.气体的温度升高,气体的压强一定增大

C.任何条件下,热量都不会由低温物体传送到高温物体

D.任何热机都不可能使燃料释放的热量完全转化为机械能

试题详情

15.匀速上升的电梯顶部挂有一轻质弹簧,弹簧的下端挂有一小球。若升降机突然停止,在地面上的观察者看来,小球在继续上升的过程中

   A.加速度逐渐增大,速度逐渐减小

B.加速度逐渐增大,速度逐渐增大

C.加速度逐渐减小,速度先增大后减小

D.加速度先增大后减小,速度逐渐减小

试题详情

14.卢瑟福通过实验首次实现了原子核的人工转变,核反应方程为下列说法正确的是

   A.通过此实验发现了质子

B.实验中利用了放射源放出的α射线

C.实验中利用了放射源放出的γ射线

D.原子核在人工墨迹过程,电荷数可能不守恒

试题详情

13.每个公民都应该有安全意识,今年频繁发生的有关化学品泄漏或爆炸事件一次又一次给我们敲响了警钟。下列做法存在安全隐患的是

   ①将水沿着烧杯内壁缓缓加入浓硫酸中,并用玻璃棒不断搅拌;②给试管中液体加热时,应将试管倾斜,与桌面成45°角,再集中在药品处加热;③取用金属Na或K时,用剩的药品要放回原瓶;④夜间厨房发生煤气泄漏时,应立即开灯检查煤气泄漏原因,并打开所有门窗通风;⑤在做苯酚性质实验时,因为常温时苯酚在水中溶解度较小,所以可以将废液直接通过水池排入水道;⑥废旧电池应回收处理。   x

   A.全部     B.①②④⑤     C.①③⑤     D.①④

试题详情

12.六氟化硫分子呈正八面体,难以水解,在高电压下仍有良好的绝缘性,在电器工业有着广泛用途,但逸散到空气中会引起强温室效应。下列有关SF6的推测正确的是

   A.SF6易燃烧生成二氧化硫   t

B.SF6中各原子均达8电子稳定结构

C.高温下,SF6微弱水解x生成H2SO4和HF

D.SF6是极性分子

试题详情

11.设NA为阿伏加德罗常数。下列叙述正确的是

  A.常温下,1molNaHCO3投入足量稀盐酸中,待反应结束后,可逸出NA个CO2分子

B.在含有NA个醋酸根离子(CH3COO-)的醋酸溶液中,氢离子(H+)数目略大于NA

C.1molCH3+(碳正离子)中含电子数目为10NA

D.46gNo2和N2O4混合气体中含有原子数为3NA

试题详情

10.在一定温度时将x克某物质A完全溶解于50克水中,若将所得的溶液蒸发掉10克水后并恢复至原来温度,可析出A物质a克,再蒸发掉10克水后仍恢复至原温度,又析出A物质b克,最后将剩余溶液蒸干,得到A物质y克。若A物质不含结晶水,则x与y的比值为

   A.(a+3b)/3b    tx      B.(a+4b)/4b

C.(a+3b)/2b          D.(a+4b)3b

试题详情

9.在给定的四种溶液中,各离子能大量共存的是

  A.滴加石蕊试液显红色的溶液:Fe3+、NH4+、Cl-、I-

B.所含溶质为NaNO3的溶液:K+、HSO4-、Cl-、S2O32-

C.含有大量H+的无色溶液:Na+、Fe3+、NO3-、MnO4-

D.能使pH试纸变为蓝色的溶液:Na+、Cl-、S2-、SO32-

试题详情

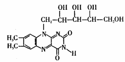
8.当前,我国正严防含有工业染色剂“苏丹红一号”的有毒食品流入市场。研究表明:核黄素(即维生素B2)能缓解“苏丹红一号”的毒性,其结构如右图 

  下列有关核黄素的说法中,正确的是

  A.核黄素属于分子晶体t

B.核黄素能发生银镜反应

C.核黄素能与氯化铁溶液作用呈紫色

D.核黄素能被酸性高锰酸钾溶液氧化

试题详情


同步练习册答案