题目列表(包括答案和解析)

 0  167462  167470  167476  167480  167486  167488  167492  167498  167500  167506  167512  167516  167518  167522  167528  167530  167536  167540  167542  167546  167548  167552  167554  167556  167557  167558  167560  167561  167562  167564  167566  167570  167572  167576  167578  167582  167588  167590  167596  167600  167602  167606  167612  167618  167620  167626  167630  167632  167638  167642  167648  167656  447348 

3、在光滑的水平面上,有A、B两个小球向右沿同一直线运动,取向右为正方向,两球的动量分别为pA=5kgm/s,pB=7kgm/s,如图所示。若两球发生正碰,则碰后两球的动量增量ΔpA、ΔpB可能是( )

(A)ΔpA=3 kgm/s,ΔpB=3 kgm/s

(B)ΔpA=-3 kgm/s,ΔpB=3 kgm/s

(C)ΔpA=3 kgm/s,ΔpB=-3 kgm/s

(D)ΔpA=-10 kgm/s,ΔpB=10 kgm/s

试题详情

2、汽车拉着拖车在平直的公路上匀速行驶,突然拖车与汽车脱钩,而汽车的牵引力不变,各自受的阻力不变,则在拖车停止运动前( )

(A)汽车和拖车的总动量不变

(B)汽车和拖车的总动能不变

(C)汽车和拖车的总动量增加

(D)汽车和拖车的总动能增加

试题详情

1、如图所示,在一个足够大的光滑平面内有A、B两个质量相同的木块,中间用轻质弹簧相连 .今对B施以水平冲量F△t(△t极短).此后A、B的情况是 ( )

(A)在任意时刻,A、B加速度大小相同

(B)弹簧伸长到最长时,A、B速度相同

(C)弹簧恢复到原长时,A、B动量相同

(D)弹簧压缩到最短时,系统总动能最小

试题详情

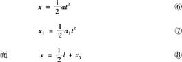
10. 设圆盘的质量为m,桌长为l,在桌布从圆盘下抽出的过程中,盘的加速度为a1,有

桌布抽出后,盘在桌面上作匀减速运动,以a2表示加速度的大小,有

   设盘刚离开桌布时的速度为v1,移动的距离为x1,离开桌布后在桌面上再运动距离x2后便停下,有

盘没有从桌面上掉下的条件是

设桌布从盘下抽出所经历时问为t,在这段时间内桌布移动的距离为x,有

由以上各式解得

试题详情

6.D  7.A   8.B   9.  以g′表示火星表面附近的重力加速度,M表示火星的质量,m表示为量的卫星的质量,m′表示火星表面处某一物体的质罱,由万有引力定律和牛顿第二定律,有

以v表示着陆器第二次落到火星表面时的速度,它的竖直分量为v1,水平分量仍为v0,有

由以上各式解得;

试题详情

5.锤自由下落,碰桩前速度v1向下,   ①    碰后,已知锤上升高度为(hl),故刚碰后向上的速度为      ②   设碰后桩的速度为V,方向向下,由动量守恒,

   ③    桩下降的过程中,根据功能关系,

     ④    由①、②、③、④式得

   ⑤

代入数值,得     N             ⑥

试题详情

1.B  2.D  3.A 4.以t表示水由喷口处到落地所用的时间,有                    ①   单位时间内喷出的水量为QS v  ②   空中水的总量应为VQ t                     ③   由以上各式得    ④  代入数值得 m3       

试题详情

10、一小圆盘静止在桌布上,位于一方桌的水平面的中央。桌布的一边与桌的AB边重合,如图。已知盘与桌布间的动摩擦因数为μ1 ,盘与桌面间的动摩擦因数为μ2 。现突然以恒定的加速度a 将桌布抽离桌面,加速度的方向是水平的且垂直于AB边。若圆盘最后未从桌面掉下,则加速度a 满足的条件是什么?(以g 表示重力加速度)

 

试题详情

9、在勇气号火星探测器着陆的最后阶段,着陆器降落到火星表面上,再经过多次弹跳才停下来。假设着陆器第一次落到火星表面弹起后,到达最高点时高度为 h ,速度方向是水平的,速度大小为 v0 ,求它第二次落到火星表面时速度的大小,计算时不计火星大气阻力。已知火星的一个卫星的圆轨道的半径为r ,周期为T,火星可视为半径为r0 的均匀球体。

试题详情

8、下列哪个说法是正确的?

A.游泳运动员仰卧在水面静止不动时处于失重状态

B.蹦床运动员在空中上升和下落过程中都处于失重状态

C.举重运动员在举起杠铃后不动的那段时间内处于超重状态

D.体操运动员双手握住单杠吊在空中不动时处于失重状态

试题详情


同步练习册答案