题目列表(包括答案和解析)

 0  167645  167653  167659  167663  167669  167671  167675  167681  167683  167689  167695  167699  167701  167705  167711  167713  167719  167723  167725  167729  167731  167735  167737  167739  167740  167741  167743  167744  167745  167747  167749  167753  167755  167759  167761  167765  167771  167773  167779  167783  167785  167789  167795  167801  167803  167809  167813  167815  167821  167825  167831  167839  447348 

3.如图所示,物体A、B和C叠放在水平桌面上,水平力Fb=5N,Fc=10N分别作用于物体B、C上,A、B和C仍保持静止,以F1、F2、F3分别表示A与B、B与C、C与桌面间的静摩擦力的大小,则

  A.F1=5N, F2=0,  F3=5N

  B.F1=5N, F2=5N, F3=0

  C.F1=0, F2=5N, F3=5N

  D.F1=0, F2=10N,F3=5N

  [导悟] 选C。因A与B之间无相对滑动趋势,故F1=0,根据对物块B的受力分析,知B在水平方向受到向左的Fb和向右的摩擦力F2,由平衡条件知F2=Fb=25N.物块C水平方向受向右的Fc,向左受F2的反作用力F2ˊ和F3,由平衡条件得出F3=5N.

试题详情

2. S1和S2表示劲度系数分别为k1和k2的两根弹簧,k1>k2;a和b表示质量分别是ma和mb的两个小物块,且ma>mb,将弹簧与物块按图示方式悬挂起来,现要求两根弹簧的总长度最大,则应使

  A.S1在上,a在上  B.S1在上,b在上

  C.S2在上,a在上  D.S2在上,b在上

  [导悟] 选D.利用胡克定律结合具体情况分析,上面弹簧伸长量为,欲使x1最大,则应选k值小的,故S2应在上;下面弹簧的伸长量为,为使x2最大,故a应在下,即b在上。

试题详情

1.有一批记者乘飞机从上海来到西藏旅游,他们托运的行李与在上海时比较,行李的质量将____(填“变大”、“不变”或“变小”);所受重力的大小将____(填“变大”、“不变”或“变小”)

  [导悟] 物体(行李)的质量是指物体所含物质的多少,与地理位置和高度无关,物体的重力与高度有关,高度越高,同一质量的物体重力越小(G=mg),从上海到西藏,行李质量不变.由于西藏海拔比上海高,所以行李的重力变小.

  答案:不变  变小 

试题详情

2、若电路中仅有一处断路,则哪里断,横跨断路处任两点间的电压均是电源电压,由题意,bd间电压220V,说明断路必在bd之间;ac之间电压为220V说明断路点又必在ac间;两者共同区域是bc.答案是:C、D.

[典型例题7]

如图所示,已知电源的电动势E=10V,内电阻r=1Ω,定值电阻R0=4Ω,滑动变阻器的总阻值R=10Ω.求:

电源的最大输出功率多大?

定值电阻R0消耗的功率的最大值是多大?

滑动变阻器上消耗的功率的最大值是多大?

分析与解:(1)电源的输出功率应出现在外电路内电阻相等的时候,但现在有定值电阻在,这个条件已不可能满足,只有在滑动变阻器的电阻为0时,输出功率才最大,即

P出max= =5.76W.

(2)定值电阻R0消耗的功率的最大值与上一问相等,即P0 max=5.76W.

(3)滑动变阻器的阻值改变时,通过它的电流、两端电压及它的电阻都在改变,但我们有一个简易的方法解决这个问题:定值电阻合并到电源内阻中,即认为电源内r’=5Ω,则当个电阻R=r’=5Ω时,电源有最大输出功率,即为滑动变阻器上消耗的最大功率.

PR max= =1.8W.

[典型例题8]

如图所示,直流电动机和电炉并联后接在直流电源上,已知电源的内阻 .电炉的电阻 ,电动机绕组的电阻 ,当开并断开时,电炉的功率是475W,当开关S闭合时电炉的功率是402.04W.求:

(1)直流电路的电动势E

(2)开关S闭合时,电动机的机械功率多大?

分析与解:

S断开时,电炉的功率 代入已知数据P r.解出 V.

S闭合时,有电动机的支路较复杂,且不能求欧姆定律求解,故先分析电炉所在支路.设该支路的电流强度 ,电炉的功率 代入 数值求出 A  两端电压也就是端电压 V,设干路电流I,由闭合电路欧姆定律   ∴ A

通过电动机的电流强度: A

由已求出 (也是电机两端电压),可求出电机消耗功率(电功率):

W

电机消耗的热功率:

W

由能量守恒可知,通过电动机转化成机械功率的是:

W

注意:通过此题,可体会到对于非纯电阻的用电器,功率 ,但 ,热功率用 计算,转化成其它形式能的部分用能量守恒 来计算.

[典型例题9]

图1、图2所示的两种电路中,电源相同,各电阻器值相等,各电流表的内阻相等且不可忽略不计.电流表 读出的电流值分别为 .下列关系式中正确的是

(A)

(B)

(C)

(D)

分析与解:设电源内阻为r,电流表电阻为 .图1   电路的总电阻较图2电路的总电阻大,电路中的总电流因而较小,即 ,(D)正确.图1中流过 的电流小于总电流的 ,图2中流过 的电流等于总电流的一半,所以, ,(B)正确.

[典型例题10]

来自质子源的质子(初速度为零),经一加速电压为800kV的直线加速器加速,  形成电流为1mA的细柱质子流.已知质子电荷 C.这束质子流每秒打到靶上的质子数为_________.假定分布在质子源到靶之间的加速电场是均匀的,在质子束中与质子源相距l和4l的两处,各取一段极短的相等长度的质子流,其中的质子数分别为 ,则

分析与解:按照又 ,即 从微观角度看, q是粒子电量, 是粒子速度,n是单位时间内通过电流截面的粒子数.细柱形质子流各处的电流相等,与质子源相距l和4l两处电流相等.

加速质子的电场是匀强的,质子作初速为零的匀加速运动:

[典型例题11]

把一个“10V,2.0W”的用电器A(纯电阻)接到某一电动势和内阻都不变的电源上,用电器A实际消耗的功率是2.0W;换上另一个“10V,5.0W”的用电器B(纯电阻)接到这一电源上,用电器B实际消耗的功率有没有可能反而小于2.0W?你如果认为不可能,试说明理由.可能则求出用电器B实际消耗的功率小于2.0W的条件.(设电阻不随温度改变)

分析与解:给出了用电器额定电压与额定功率,就是给出了用电器(纯电阻)的电阻,用电器A电阻为 ,用电器B的电阻为 .根据全电路规律,电流 R减小而增大,但路端电压 却随电流增大而减小.用电器B接入电源, ,电流 ,但端电压 ,功率 有可能小于

由题意: W

换上B后,

联立以上两式可解出

V,

试题详情

1、电路中无电流即 时,任何电阻两端均无电压.

试题详情

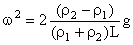
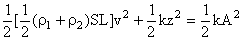
3、从木棍全部浸入下面液体开始,受力情况的分析和1中类似,只是浮力大于重力,

所以做匀减速运动,加速度的数值与a1一样,其过程和1中情况相反地对称,所用时间 t3=t1  4、总时间为

试题详情

2、木棍下端开始进入下面液体后,用L'表示木棍在上面液体中的长度,这时木棍所受重力不变,仍为,但浮力变为ρ1L'Sg+ρ2(L-L')Sg。当L=L'时,浮力小于重力;当L'=0时,浮力大于重力,可见有一个合力为零的平衡位置。用L0'表示在此平衡位置时,木棍在上面液体中的长度,则此时有

 ④ 由此可得 L0'=L/2 ⑤

 即木棍的中点处于两液体交界处时,木棍处于平衡状态,取一坐标系,其原点位于交

界面上,竖直方向为z轴,向上为正,则当木棍中点的坐标z=0时,木棍所受合力为零,当中点坐标为z时,所受合力为

 式中 k=(ρ21)Sg ⑥

 这时木棍的运动方程为

 aZ为沿z方向的加速度

 

 由此可知为简谐振动,其周期

 为了求同时在两种液体中运动的时间,先求振动的振幅A。木棍下端刚进入下面液体时,其速度 v=a1t1

 由机械能守恒可知⑩ 式中

为此时木棍中心距坐标原点的距离,由①、③、⑨式可求得v,再将v

和⑥式中的k代入⑩式得 A=L 

 由此可知,从木棍下端开始进入下面液体到棍中心到达坐标原点所走的距离是振幅的一半,从参考圆(见图)上可知,对应的θ为300,对应的时间为T/12。因此木棍从下端开始进入下面液体到上端进入下面液体所用的时间,即棍中心从

所用的时间为 

试题详情

1、用S表示木棍的横截面积,从静止开始到其下端到达两液体交界面为止,在这过程中,木棍受向下的重力

和向上的浮力ρ1LSg。由牛顿第二定律可知,其下落的加速度 

 用t1表示所需的时间,则    ②

 由此解得

试题详情

2、按陆续成像计算物AP经LM组合所成像的位置、大小,物AP经透镜L成的像为第一像,取u1=2f,由成像公式可得像距v1=2f,即像在平面镜后距离2f处,像的大小H'与原物相同,H'=H。 第一像作为物经反射镜M成的像为第二像,第一像在反射镜M后2f处,对M来说是虚物,成实像于M前2f处,像的大小H"也与原物相同,H"=H'=H。 第二像作为物,再经透镜L而成的像为第三像,这时因为光线由L右方入射,且物(第二像)位于L左方,故为虚物,取物距u2=-2f,由透镜公式

 可得像距

上述结果表明,第三像,即本题所求的像的位置在透镜左方距离2f/3处,像的大小

可由求得, 像高为物高的

 例题二

试题详情

1、用作图法求得物AP的像A'P'及所用各条光线的光路如图预解所示。 说明:平凸薄透镜平面上镀银后构成一

个由会聚透镜L和与它密接的平面镜M组合LM。如图预解所示,图中O为L的光心,

AOF'为主轴,F和F'为L的两个焦点,AP为物,作图时利用了下列三条特征光线。 (1)由P射向O的入射光线,它通过O后方向不变,沿原方向射向平面镜M,然后被M反射,反射光线与主轴的夹角等于入射角,均为α,反射线射入透镜时通过光心O,故由透镜射出时方向与上述反射线相同,即图中OP'。

 (2)由P发出且通过L左方焦点F的入射光线PFR,它经过L折射后的出射线与主轴平行,垂直射向平面镜M,然后被M反射,反射光线平行于L的主轴,并向左射入L,经L折射后的出射线通过焦点F,即为图中的RFP。

 (3)由P发出的平行于主轴的入射光线PQ,它经过L折射后的出射线将射向L焦点F',即沿图中QF'方向射向平面镜,然后被M反射,反射线指向与F'对称的F点,即沿QF方向。此反射线经L折射后的出射线可用下法画出;通过O作平行于QF的辅助线S'OS,S'OS通过光心,其方向保持不变,与焦面相交于T点。由于入射平行光线经透镜后相交于焦面上的同一点,故QF经L折射后的出射线也通过T点,图中的QT即为QF经L折射后的出射光线。

 上列三条出射光线的交点P'即为LM组合所成的P点的像,对应的A'即A的像点。由图可判明,像A'P'是倒立实像,只要采取此三条光线中的任意两条即可得A'P',即为正确解答。

试题详情


同步练习册答案