题目列表(包括答案和解析)

 0  167941  167949  167955  167959  167965  167967  167971  167977  167979  167985  167991  167995  167997  168001  168007  168009  168015  168019  168021  168025  168027  168031  168033  168035  168036  168037  168039  168040  168041  168043  168045  168049  168051  168055  168057  168061  168067  168069  168075  168079  168081  168085  168091  168097  168099  168105  168109  168111  168117  168121  168127  168135  447348 

9.(9分)如图所示,A、B、C为黑箱上的三个接点,已知任意两个接点间最多只能接一个元件,可能的元件有电池、电阻和二极管.

(1)  用多用电表判断黑箱内有无电池,操作方法是:     

                                      

                                       

(2)经检测发现黑箱内没有电池,用多用电表的欧姆挡测量各接点间的电阻,结果如下:黑表笔接B点、红表笔接c点时阻值很小,反接时阻值很大;A、B间正反接时阻值均为R;黑表笔接A点、红表笔接C点时阻值比AB间阻值R略大,反接时阻值很大.试在图中画出黑箱内一种可能的电路.

试题详情

8.(6分)(1)用螺旋测微器测量电阻丝的直径,结果如图(甲)所示,则读数是        m.

(2)用主尺最小分度为lmm,游标上有20个分刻度的游标卡尺测一工

件长度,如图(乙)所示,则读数是         m.

试题详情

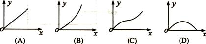
7.如图所示,图(甲)为一块透明的光学材料的剖面图,在其上建立直角坐标系xoy,设该光学材料的折射率沿y轴正方向均匀减小.现有一束单色光a从原点O以某一入射角θ由空气射入该材料内部,则单色光a在该材料内部可能的传播途径是下图中的   (   )

第Ⅱ卷(非选择题,共115分)

   非选择题部分共7小题.共115分.把答案填在题中的横线上或按照题目要求作答.解答题要写出必要的文字说明、方程式和重要的演算步骤。只写出最后答案的不能得分.有数值计算的题,答案中必须明确写出数值和单位.

试题详情

6.如图所示,沿x轴正方向传播的一列简谐横波在某时刻的波形图为一正弦曲线,其波速为200m/s,下列说法中正确的是                   (     )

(A)图示时刻质点b的加速度将减小

(B)从图示时刻开始,经过0.01s,质点a通过的路程为0.4m

(C)若此波遇到另一列波并发生稳定干涉现象,则另一列波的频率为50Hz

(D)若该波传播中遇到宽约4m的障碍物能发生明显的衍射现象

试题详情

5.如图所示,水平放置的光滑平行金属导轨上有一质量为m的金属棒ab.导轨一端连接电阻R,其它电阻均不计,磁感应强度为B的匀强磁场垂直于导轨平面向下,金属棒ab在一水平恒力F作用下由静止起向右运动,则              (      )

(A)随着ab运动速度的增大,其加速度也增大

(B)外力F对ab做的功等于电路中产生的电能

(C)当ab做匀速运动时,外力F做功的功率等于电路中的电功率

(D)无论ab做何运动,它克服安培力做的功一定等于电路中产生的电能

试题详情

4. (钍)具有天然放射性,能放出一个β粒子而变为(镤).则下列说法中正确的是                               (      )

  (A) 核比核少1个质子

  (B) 核与核的中子数相等

  (C)精确地讲,一个核的质量比一个核的质量小

  (D)精确地讲,一个核的质量比一个核与一个β粒子的质量和大

试题详情

3.关于声波和电磁波,下列说法中正确的是              (     )

  (A)它们都能产生反射、折射、干涉、衍射等现象

  (B)它们都不能在真空中传播而只能在介质中传播

  (C)当它们由一种介质进入另一种介质时,它们的波长都不变

  (D)声波是纵波,电磁波是横波,因此电磁波有偏振现象而声波没有

试题详情

2.关于气体的压强,下列说法正确的是                (     )

  (A)气体的压强是由气体分子间的吸引和排斥产生的

  (B)气体分子的平均速率增大,气体的压强一定增大

  (C)气体的压强等于器壁单位面积、单位时间所受气体分子冲量的大小

  (D)当某一容器自由下落时,容器中气体的压强将变为零

试题详情

1.下列说法中正确的是(      )                      

  (A)物体甲自发传递热量给物体乙,说明甲物体的内能一定比乙物体的内能大

  (B)物体的温度越高,其分子的平均动能越大

  (C)因为能量守恒,所以“能源危机”是不可能发生的

  (D)物体内能增加,一定是物体从外界吸收了热量

试题详情

18、某空间存在着一个变化的电场和一个变化的磁场,电场方向向右[如下图(a)中由BC的方向],电场变化如图(b)中E-t图象,磁感应强度变化如图(c)中B-t图象.在A点,从t=1 s(即1 s)开始,每隔2 s,有一个相同的带电粒子(重力不计)沿AB方向(垂直于BC)以速度v射出,恰能击中C点,若且粒子在AC间运动的时间小于1 s,求

(1)图线上E0B0的比值,磁感应强度B的方向。

(2)若第1个粒子击中C点的时刻已知为(1+Δt)s,那么第2个粒子击中C点的时刻是多少?

试题详情


同步练习册答案