题目列表(包括答案和解析)

 0  198444  198452  198458  198462  198468  198470  198474  198480  198482  198488  198494  198498  198500  198504  198510  198512  198518  198522  198524  198528  198530  198534  198536  198538  198539  198540  198542  198543  198544  198546  198548  198552  198554  198558  198560  198564  198570  198572  198578  198582  198584  198588  198594  198600  198602  198608  198612  198614  198620  198624  198630  198638  447348 

39.(16分)下图是腺病毒侵染寄主细胞过程示意图,据图回答:

(1)据图可知腺病毒侵染寄主细胞分________________________、________________________、________________________、________________________、________________________五个阶段。

(2)从图中可知,腺病毒DNA的复制是在________________________中进行的,所需的原料来自寄主细胞核中________________________,遵循________________________原则。新形成的DNA含有亲代DNA中的一条链,因此这种复制方式称为________________________。

(3)mRNA是以________________________为模板形成的,形成后通过________________________进入寄主细胞的细胞质中与核糖体结合,指导合成________________________。蛋白质、RNA、DNA三者基本组成单位的数量关系为________________________。

(4)设腺病毒的蛋白质外壳含A个氨基酸,有B条肽链,则其在形成蛋白质时所脱去的水分子数为________________________个。如果脱氧核苷酸的平均分子量为2502,那么腺病毒DNA的分子量为________________________。

(5)此过程证明________________________是遗传物质。

试题详情

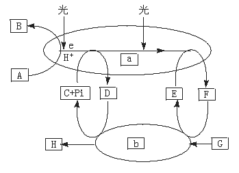
38.(8分)下图为光合作用图解,请分析回答:

(1)光合作用中,a代表_________________________,是_________________________反应的场所。

(2)物质F是_________________________,它富含_________________________化学能,还是很强的_________________________剂。

(3)请写出a内发生的主要的物质变化反应式:_________________________。

试题详情

37.(7分)下图是人类某一家族遗传病甲和遗传病乙的系谱图(设甲病由A、a这对等位基因控制,乙病由B、b 这对等位基因控制),且甲乙两种遗传病至少有一种是伴性遗传病。请分析回答:

(1)控制甲病的基因位于_______________染色体上,属于_______________性基因。控制乙病的基因位于_______________染色体上,属于_______________性基因。

(2)写出第Ⅰ世代个体1和第Ⅱ世代个体5可能的基因型是Ⅰ1__________________,Ⅱ5_______________________。

(3)若Ⅲ8和Ⅲ10结婚生下一个女孩,该女孩同时患两病的几率是______________________________。

试题详情

36.(9分)某农场由于不慎,在一块培养不育系的地里把雄性不育系、保持系和恢复系种到了一块地里,如下图所示:

1和3是保持系,2和4是不育系,5是恢复系。请回答:

(1)在1和3植株上获得的种子的基因型是__________________________。

(2)在2和4植株上获得的种子的基因型是__________________________。

(3)在5植株上获得的种子的基因型是__________________________。

(4)如果该农场是为了培育不育品系,在幼苗期发现了这一现象时,可采取的补救措施是__________________________。

试题详情

35.(10分)将同一植物的细胞,分别浸入蒸馏水、0.3 mol/L的蔗糖溶液和0.54 mol/L的尿素溶液中,测得细胞的体积随时间的变化曲线如下图所示,据图回答:

(1)在A、B、C中,细胞在蒸馏水中的是_____________,在蔗糖溶液中的是_____________,在尿素溶液中的是_____________。

(2)试简要分析出现B、C曲线差异的原因是:

①____________________________________________________;

②____________________________________________________。

试题详情

34.(8分)下图是用燕麦胚芽鞘进行生长素发现过程的验证性实验的示意图,请仔细观察并回答问题。

(1)通过(1)和(2)示意图证实了___________________________________结论。

(2)通过(3)示意图证明了___________________________________结论。

(3)通过(4)和(5)示意图证实了___________________________________结论。

(4)图(6)的结果是错误的,其错误在:___________________________________。

试题详情

33.(10分)实验研究喝1 L水和1 L0.96%的盐水对于A、B两组男性尿液产生量的影响,实验前要求实验对象排空膀胱内的尿液,实验过程中,尿液每30 min收集1次,结果如下表(表中时间为1 h时,饮入水或盐水)

时间(h)
0.0
0.5
1.0
1.5
2.0
2.5
3.0
3.5
4.0
4.5
5.0
尿量
(cm3/30min)
A组
0
40
40
350
500
150
50
90
60
30
40
B组
0
40
40
50
90
60
50
40
40
40
40

(1)为什么实验前要求实验对象排空膀胱内的尿液?

________________________________________________________________。

(2)A、B中哪一组喝的是盐水?

________________________________________________________________。

(3)根据表中数据,说明A、B两组喝水或盐水后相同的反应是________________________________________________________________。不同的反应是________________________________________________________________。

(4)如果正常人在一段较长的时间内(如12 h)没有喝水,尿量有何变化?

________________________________________________________________。

试题详情

(二)多选题(本题包括6个小题,每小题3分,共18分。每小题有不止一个选项符合题意。每小题全选对者得3分,其他情况不给分)

27.甲、乙、丙、丁四人的血型各不相同。如用A型血清检查,乙和丁的血液可被凝集;经配血试验,已知乙只能接受甲的血。据此推测这四个人的血型不可能依次为

A.O、AB、B、O型                 B.O、A、B、AB型

C.O、AB、A、B型                 D.O、B、A、AB型

28.关于人体内O2扩散的方向,下列说法错误的是

A.静脉血→组织细胞→肺泡

B.组织细胞→静脉血→肺泡

C.肺泡→动脉血→组织细胞

D.肺泡→组织细胞→静脉血

29.春季果农在生长旺盛的苹果树干上剥掉一圈树皮即环剥,不伤害木质部,可提高座果率,与此无关的原因是

A.阻碍水和无机盐向上运输

B.阻碍有机物向剥口下运输

C.阻碍有机物向剥口上运输

D.阻碍水和无机盐向下运输

30.下列高科技成果中,根据基因重组原理进行的是

A.我国科学家袁隆平利用杂交技术培育出超级水稻

B.我国科学家将苏云金杆菌的某些基因移植到棉花体内,培育出抗虫棉

C.我国科学家通过返回式卫星搭载种子培育出太空椒

D.我国科学家通过体细胞克隆技术培养出克隆牛

31.能导致染色体数目变化的是

A.秋水仙素抑制纺锤体形成

B.染色体复制

C.中心粒复制

D.着丝点分裂

32.对人体内水和无机盐平衡调节的叙述,不正确的是

A.只依靠神经调节

B.只有激素调节,没有神经参与调节

C.在神经调节和激素调节的共同作用下,主要通过肾脏来完成

D.抗利尿激素的分泌和醛固酮的分泌的调节都受下丘脑的直接控制

第Ⅱ卷(非选择题  共80分)

试题详情

(一)单选题(本题包括26小题,每小题2分,共52分。每小题只有一个选项符合题意)

1.下图表示小麦种子萌发时总干重和胚乳干重的变化曲线,据图可以推断

A.萌发种子的鲜重随时间稳定增加

B.萌发时由于呼吸频率高,产生大量水蒸气

C.种子的重量主要是贮藏在种子内的水分

D.贮藏在种子内的养料被胚用于萌发后,随即快速生长

2.实验测定链霉素对3种细菌的抗生素效应,用3种细菌在事先准备好的琼脂块平板上画3条等长的平行线(3条线均与下图中链霉素带接触),将平板置于37℃条件下恒温培养   3 d,结果如图所示,从实验结果看以下关于链霉素的哪一叙述是不正确的

A.它能阻止结核杆菌生长

B.它对结核菌比对霍乱菌更有效

C.它对结核菌比对伤寒菌更有效

D.它可以用于治疗伤寒病人

3.甲是一种能生活在多种土壤中的小型昆虫,常被昆虫乙大量捕食,DDT和aldrin是用于控制这些生物的杀虫剂,aldrin对甲和乙毒性相同,但DDT对乙的毒性比对甲更强,现用DDT和aldrin单独处理田块,下图中,哪2个图能分别代表DDT和aldrin单独作用时对害虫数量的影响

A.1和3                           B.2和1

C.2和4                          D.3和4

4.能克服远缘杂交不亲和性的技术是

A.组织培养                        B.细胞融合

C.动物胚胎移植                    D.单倍体育种

5.下列哪项技术与“试管婴儿”无关

A.体外受精                        B.动物胚胎移植

C.细胞培养                        D.细胞拆合技术

6.在现代发酵工程中,利用下列哪一项技术,有目的地改造原有的菌种并且提高其产量

A.细胞融合                        B.诱变育种

C.克隆                           D.DNA重组技术

7.白细胞介素-2的作用对象是

A.作用于T细胞,使其产生更多的效应T细胞

B.作用于效应T细胞,使其转变为记忆细胞

C.作用于B细胞,使其分泌更多的抗体

D.作用于记忆细胞,使其识别抗原的能力增强 

8.植物的有氧呼吸、无氧呼吸和光合作用都有的现象是

A.最终合成有机物                      B.最终分解有机物

C.气体交换                        D.能量转换

9.在呼吸作用过程中,若有CO2放出,则可以推出此过程一定

A.是有氧呼吸                         B.是无氧呼吸

C.不是酒精发酵                    D.不是乳酸发酵

10.在细胞有丝分裂过程中,DNA分子的复制和分离发生在

A.间期和末期                         B.间期和后期

C.间期和中期                         D.前期和后期

11.某植物体细胞内有4条染色体,那么在有丝分裂的前期和中期,其染色体、染色单体和DNA分子数依次是

A.4、4、4                        B.4、4、8

C.4、8、8                         D.4、8、16

12.下列微生物的代谢产物中没有菌种特异性的一组是

①氨基酸  ②核苷酸  ③多糖  ④毒素  ⑤激素  ⑥脂类  ⑦维生素  ⑧抗生素  ⑨色素

A.①②③④⑤                         B.①②③⑥⑦

C.①③⑤⑥⑦                         D.①③⑦⑧⑨

13.作为生产用和科研材料用的菌种,常选

A.稳定期                             B.衰亡期

C.对数期                             D.调整期

14.在特异性免疫中,发挥免疫作用的主要是

A.抗体                           B.抗原

C.淋巴细胞                        D.吞噬细胞

15.用低倍镜观察有丝分裂的细胞,如要换上高倍镜观察,首先需要调节

A.装片的位置                         B.粗准焦螺旋

C.转换器                             D.细准焦螺旋

16.某女为色盲,其祖母一定是

A.色盲基因携带者或色盲患者

B.色盲患者

C.色盲基因携带者

D.色觉正常的纯合体

17.若把老鼠的尾巴从生时就切除,一代一代地连续进行,10代以后出生的老鼠将是

A.无尾巴                             B.尾巴变短

C.尾巴变长                        D.和普通老鼠一样

18.下列食物链,能成立的是

A.阳光→草→兔→狐

B.田鼠→蛇→山鹰

C.植物→鹿→羚羊

D.植物→鼠→蛇→山鹰

19.在“牧草→野兔→狐狸→狼”这条食物链中含能量最多的环节是

A.狼                                B.牧草

C.狐狸                           D.野兔

20.变异是生命物质基本特征之一,下列不属于细菌产生的可遗传变异有

①基因突变  ②基因重组  ③染色体变异  ④环境条件的变化

A.①②③                             B.②③④

C.①③④                             D.①②④

21.有氧呼吸的3个阶段中,第二、三阶段的共同点是

①都在线粒体中进行  ②都需要氧气的参与  ③都能产生[H]  ④都能生成ATP

A.①②                           B.②③

C.②④                           D.①④

22.在下列人类的生殖细胞中,两两结合能产生先天性愚型男孩的结合是

①23+X  ②22+X  ③21+Y  ④22+Y

A.②④                           B.①③

C.①④                           D.③④

23.麻风杆菌进入人体后,发生的免疫作用是

①特异性免疫  ②非特异性免疫  ③体液免疫  ④细胞免疫

A.①③                           B.①④

C.②③                           D.②④

24.在化工厂的附近大气中的SO2的含量较高,为减轻对环境的污染,最适宜种植的树种是

A.柠檬和圆柏                         B.杨树和柳树

C.银杏和柳杉                         D.山毛榉和梧桐

25.在以下四种细胞工程的技术中,培育出的新个体同时具有两个亲本遗传性状的方法是

①细胞和组织培养  ②细胞融合  ③动物胚胎移植  ④细胞核移植

A.①②                           B.②③

C.②④                           D.①④

26.显性基因决定的遗传病患者分成两类,一类致病基因位于X染色体上,另一类位于常染色体上,他们分别与正常人婚配,总体上看这两类遗传病在子代的发病率情况是

①男性患者的儿子发病率不同  ②男性患者的女儿发病率不同  ③女性患者的儿子发病率不同  ④女性患者的女儿发病率不同

A.①②                           B.①③

C.②④                           D.②③

试题详情

31.再经抗体作用,吞噬细胞将HIV分解吞食.②T逆转录形成DNA③抑制③逆转录(2)①去②30%③细胞的全能性 秋水仙素抑制纺锤体的形成,使加倍的染色体不分离,进而使细胞正常分裂.

试题详情


同步练习册答案