题目列表(包括答案和解析)

 0  209651  209659  209665  209669  209675  209677  209681  209687  209689  209695  209701  209705  209707  209711  209717  209719  209725  209729  209731  209735  209737  209741  209743  209745  209746  209747  209749  209750  209751  209753  209755  209759  209761  209765  209767  209771  209777  209779  209785  209789  209791  209795  209801  209807  209809  209815  209819  209821  209827  209831  209837  209845  447348 

8.给动物饮相同量的水,与对照组动物相比,一段时间后会出现尿量减少的动物是

A.输液不久的动物  B.患糖尿病的动物  C.切除垂体的动物  D.摄入过多食盐的动物

试题详情

7.在保持细胞存活的条件下,蔗糖溶液浓度与萝卜条质量变化的关系如右图。若将处于b浓度溶液中的萝卜条移入a浓度溶液中,则该萝卜条的质量将

A.不变

B.增大

C.减小

D.先增后减

试题详情

6.为了验证胰岛素具有降低血糖的作用,在设计实验方案时,如果以正常小白鼠每次注射药物前后小鼠症状的变化为观察指标,则下列对实验组小鼠注射药物的顺序,正确的是

A.先注射胰岛素溶液,后注射葡萄糖溶液  B.先注射胰岛素溶液,再注射胰岛素溶液

C.先注射胰岛素溶液,后注射生理盐水   D.先注射生理盐水,后注射胰岛素溶液

试题详情

5.动物和人体内具有分裂和分化能力的细胞称为干细胞。对下图的相关叙述中,错误的是

A.a过程表示干细胞能自我更新

B.b、c过程表示干细胞具有分化能力

C.a、b、c过程中细胞的遗传信息表达情况不同

D.b过程形成的细胞直接组成器官,可供器官移植使用

试题详情

4.为证实叶绿体有放氧功能,可利用含有水绵与好氧细菌的临时装片进行实验,装片需要给予一定的条件,这些条件是

A.光照、有空气、临时装片中无NaHCO3稀溶液

B.光照、无空气、临时装片中有NaHCO3稀溶液

C.黑暗、有空气、临时装片中无NaHCO3稀溶液

D.黑暗、无空气、临时装片中有NaHCO3稀溶液

试题详情

3.细胞内各细胞具有一定的结构和功能,对图8中结构①的叙述,正确的是

A.在不同植物细胞内其数量基本相同

B.是植物合成蛋白质的主要细胞器

C.是植物进行光合作用产生有机物的细胞器

D.含有DNA和RNA,是决定植物遗传的基本单位

试题详情

2.下列物质在元素组成上最相似的一组是

     A.麦芽糖、维生素D、生长激素           

     B.纤维素、胰岛素、性激素

     C.糖原、肽酶、脂蛋白                                          

     D.ATP、DNA、RNA

试题详情

1.从细胞膜上提取了某种成分,用非酶法处理后,加入双缩脲试剂处理后出现紫色,若加入斐林或班氏试剂并加热,出现砖红色,该成分是(  )

A.糖脂    B.磷脂    C.糖蛋白   D.脂蛋白

试题详情

36.(9分)下图是将动物的生长激素基因导入细菌细胞内,产生“工程菌”的示意图。请据图回答:

(1)在“工程菌”细胞内,控制细菌合成胰岛素的基因、控制细菌主要性状的基因依次存在于_______________________________、________________________________上。

(2)在构建重组运载体B的过程中,需要______种限制酶切割­­­­_______个磷酸二酯键。

(3)将重组DNA分子导入细菌细胞,常用方法是_______________________________。

(4)在该工程中限制酶能识别的序列和切点是一GGATCC一,请画出质粒被切割形成的黏性末端。

试题详情

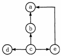
35.(10分)下图表示某稳定池塘生态系统的营养结构,a-e代表各营养级的生物。请据图回答:

(1)上图中没有标出的生态系统的成分是_______________________________________。

(2)若该系统中种群c固定的总能量为6.8×109kJ,种群d含的能量1.3×108kJ,则种群a至少约含_____________kJ。

(3)在池塘中,种群b数量的增长将导致种群a的增长,而种群a数量的增长又会抑制b数量的增加,这说明信息传递方向是_______________。

(4)养殖户借鉴外地经验,改变了生产方式,在塘基上种桑树,用蚕沙喂鱼,塘泥肥桑。这么做的优点是_____________________________________________。

(5)由于生活污水大量排入,该池塘连续多次发生蓝藻爆发,引起c死亡。导致c死亡的主要原因是生活环境中缺少_____________________。

试题详情


同步练习册答案