题目列表(包括答案和解析)

 0  209740  209748  209754  209758  209764  209766  209770  209776  209778  209784  209790  209794  209796  209800  209806  209808  209814  209818  209820  209824  209826  209830  209832  209834  209835  209836  209838  209839  209840  209842  209844  209848  209850  209854  209856  209860  209866  209868  209874  209878  209880  209884  209890  209896  209898  209904  209908  209910  209916  209920  209926  209934  447348 

7.下列关于植物细胞呼吸的叙述,正确的是

A.细胞呼吸产生的中间产物丙酮酸可以通过线粒体双层膜

B.是否产生二氧化碳是区分需氧呼吸和厌氧呼吸的标志

C.高等植物进行需氧呼吸,不能进行厌氧呼吸

D.种子库中贮藏的种子不进行细胞呼吸

试题详情

6.观察在0.3 g/mL蔗糖溶液中的洋葱鳞片叶表皮细胞,发现中央液泡逐渐变小,说明

A.细胞壁相当于一层半透膜      B.此时细胞液浓度大于蔗糖溶液浓度

C.洋葱鳞片叶表皮细胞是活的     D.液泡中的细胞液流失

试题详情

5.下列关于酶的叙述,正确的是

A.酶都是由活细胞产生的,其合成包括转录和逆转录两个过程

B.任何一个活细胞都能产生酶,酶在细胞内才起催化作用

C.同一生物体内的各种酶催化反应条件都相同

D.细胞溶胶中有催化葡萄糖分解的酶

试题详情

4.下列过程中,涉及肽键数量变化的是

A.洋葱根尖细胞染色体的复制     B.用纤维素酶处理植物细胞

C.小肠上皮细胞吸收氨基酸      D.蛋清中加入NaCl使蛋白质析出

试题详情

3.右图表示细胞膜的结构模型示意图,a和b表示两种不同的物质及其运输方式。下列叙述正确的是

A.Ⅰ表示细胞外,Ⅱ代表细胞内

B.a可代表氧气,b可代表氨基酸

C.不同物种的细胞中①、②和③的种类均不相同

D.适当提高温度将加快②和③的运动速度

试题详情

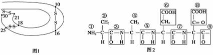
2.下面是某蛋白质的肽链结构示意图,图1中数字表示氨基酸的序号,图2表示部分肽链的结构图。据图判断下列叙述正确的是

A.该蛋白质分子含有两条肽链和49个肽键

B.图2中②④⑥⑧是R基

C.图2中的肽链由3种氨基酸脱水缩合而成

D.由图可知该蛋白质至少含有3个游离的羧基

试题详情

1.下列说法正确的是

A.糖类中的纤维素一般不作为能源物质

B.糖元是植物体内贮存能量的物质之一

C.脂质中的磷脂主要用于膜结构的组成

D.蛋白质通常不是生物体内的能源物质

试题详情

45.(8分)乙醇等“绿色能源”的开发备受世界关注。利用玉米秸杆生产燃料酒精的大致流程为:

(1)玉米秸杆经预处理后,应该选用纤维素酶进行水解,使之转化为发酵所需的葡萄糖。从以下哪些微生物中可以提取上述水解过程所需的酶(    )

A酿制果醋的醋酸菌       B生长在腐木上的霉菌

C制作酸奶的乳酸菌       D生产味精的谷氨酸棒状杆菌

(2)在生产糖液的过程中,为了使酶能够被反复利用,可采用      技术。

(3)从野生酵母群中分离纯化酵母菌, 最常使用的接种方法是         

         两种。

(4)对野生酵母菌进行诱变可筛选出具有耐高糖和耐酸性的高产突变菌株,利用PCR技术可大量获得突变菌所携带的特殊基因。在PCR扩增反应中加入引物的作用是      

                     

(5)研究者设计从某种真菌中获取纤维素酶基因并转入酵母菌,获得可直接利用纤维素生产酒精的酵母工程菌。在此过程中,将纤维素酶基因切割下来所用的工具是    

    ,用         将纤维素酶基因与载体拼接成新的DNA分子,下一步将该DNA分子           ,以完成工程菌的构建。

试题详情

44.(7分)某科研小组为了解下丘脑与其他内分泌腺之间的功能关系,进行了如下实验。请根据你所学知识,完成实验报告:

(1)实验材料和步骤:

①实验动物:家兔12只(体重2kg/只,雌雄各6只)。

②依次测定和记录12只家兔血液中促甲状腺激素、甲状腺激素、促性腺激素和性激素的含量以及12小时的尿量,每天1次,连续3天。(性激素分泌调节与甲状腺激素分泌调节的原理相同)

③第4天,切断各家兔下丘脑和垂体之间的联系后,重复上述步骤②。最后,将手术前、后的两组数据用      方法处理,求出差异。

(2)结果与分析:

①促甲状腺激素、甲状腺激素、促性腺激素和性激素的含量,手术后比手术前      ;切断垂体与下丘脑的联系后,甲状腺和      的生理功能受到影响。

②兔的尿量,手术后比手术前     ,可推断出       激素分泌减少。

(3)结论:

根据实验结果以及下丘脑和其他内分泌腺的功能可知,下丘脑合成和分泌   

    ,促进垂体合成和分泌相应的促激素,再促进相应的内分泌腺合成和分泌激素。

(4)为进一步明确与尿量变化相关激素的分泌途径,你认为下一个实验应在哪一方面进行研究?                

试题详情

43.(10分)随着科学的发展,科学家对动物脑的研究不断深入。人类的脑中有一种抑制性的神经递质:r-氨基丁酸,它是谷氨酸在一种脱羧酶的作用下转变而来。有一种病在静止或运动时有舞蹈样动作,称为舞蹈病,就是由于患者体内缺乏脱羧酶所致。

(1)谷氨酸的R基是-C3H5O2,则谷氨酸的分子式是          

(2)r-氨基丁酸作为一种神经递质,它暂时贮存于神经末梢内部的____________内,当神经兴奋时,可以迅速通过_______作用释放到突触间隙中,作用于突触后膜,使突触后神经元产生       

(3)舞蹈病是一种遗传病,这种病产生的根本原因是        。该实例体现出基因可以通过控制         从而控制性状。

(4)研究人员对某女性患者的家庭成员情况调查如下:(格中“√”的为舞蹈病患者)

祖父
祖母
外祖父
外祖母
父亲
母亲
姐姐
弟弟
女性患者
 


 


 
 

 

 ①据上表在右侧框中绘制遗传系谱图:

○正常女性;□正常男性

●患病女性;■患病男性

 ②该病的遗传方式是         ,若该女性患者与一个正常男性结婚,生下一个正常男孩的可能性是       

试题详情


同步练习册答案