题目列表(包括答案和解析)

 0  209661  209669  209675  209679  209685  209687  209691  209697  209699  209705  209711  209715  209717  209721  209727  209729  209735  209739  209741  209745  209747  209751  209753  209755  209756  209757  209759  209760  209761  209763  209765  209769  209771  209775  209777  209781  209787  209789  209795  209799  209801  209805  209811  209817  209819  209825  209829  209831  209837  209841  209847  209855  447348 

8.对于孟德尔所做黄圆与绿皱豌豆的杂交试验,下列哪项叙述不正确         (  )

A.F1产生配子时,每对基因都要彼此分离

B.F1产生的雌配子有YR、Yr、yR、yr,并且它们之间的数量比接近于1∶1∶1:1

C.F1产生的雌雄配子的数量相同

D.F1的雌雄配子结合的方式可以有16种

试题详情

7.据右图,下列选项中不遵循基因自由组合规律的是

试题详情

6.两对基因(A-a和B-b)自由组合,基因型为AaBb的植株自交,得到的后代中表现型与亲本不相同的概率是

A.1/4                             B.3/4

   C. 7/16                            D. 9/16

试题详情

5.已知豌豆红花对白花、高茎对矮茎、子粒饱满对子粒皱缩为显性,控制它们的三对基因自由组合。以纯合的红花高茎子粒皱缩与纯合的白花矮茎子粒饱满植株杂交,F2代理论上为

A.12种表现型

     B.高茎子粒饱满:矮茎子粒皱缩为15:1

     C.红花子粒饱满:红花子粒皱缩:白花子粒饱满:白花子粒皱缩为9:3:3:1

    D.红花高茎子粒饱满:白花矮茎子粒皱缩为27:1

试题详情

4.桃的果实成熟时,果肉与果皮粘连的称为粘皮,不粘连的称为离皮;果肉与果核粘连的称为粘核,不粘连的称为离核。已知离皮(A)对粘皮(a)为显性,离核(B)对粘核(b)为显性。现将粘皮、离核的桃(甲)与离皮、粘核的桃(乙)杂交,所产生的子代出现4种表现型。由此推断,甲、乙两株桃的基因型分别是

A.AABB、aabb      B.aaBB、AAbb    C. aaBB、Aabb    D.aaBb、Aabb

试题详情

3.基因型为AAbbCC与aaBBcc的小麦进行杂交,这三对等位基因分别位于非同源染色体上,F1杂种形成的配子种类数和F2的基因型种类数分别是 

A.4和9           B.4和27         C.8和27          D.32和81

试题详情

2.调查发现人群中夫妇双方均表现正常也能生出白化病患儿。研究表明白化病由一对等位基因控制。判断下列有关白化病遗传的叙述,错误的是 

A.   致病基因是隐性基因

B.如果夫妇双方都是杂合子,他们生出白化病患儿的概率是1/4

C. 如果夫妇一方是白化病患者,他们所生表现正常的子女一定是杂合子

D.白化病患者与表现型正常的人结婚,所生子女表现正常的概率是1

试题详情

1.两杂种黄色籽粒豌豆杂交产生种子120粒,其中纯种黄色种子的数目约为 

A.0粒             B.30粒          C.60粒          D.90粒

试题详情

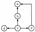
36.(9分)下图是将动物的生长激素基因导入细菌细胞内,产生“工程菌”的示意图。请据图回答:

(1)在“工程菌”细胞内,控制细菌合成胰岛素的基因、控制细菌主要性状的基因依次存在于_______________________________、________________________________上。

(2)在构建重组运载体B的过程中,需要______种限制酶切割­­­­_______个磷酸二酯键。

(3)将重组DNA分子导入细菌细胞,常用方法是_______________________________。

(4)在该工程中限制酶能识别的序列和切点是一GGATCC一,请画出质粒被切割形成的黏性末端。

试题详情

35.(10分)下图表示某稳定池塘生态系统的营养结构,a-e代表各营养级的生物。请据图回答:

(1)上图中没有标出的生态系统的成分是_______________________________________。

(2)若该系统中种群c固定的总能量为6.8×109kJ,种群d含的能量1.3×108kJ,则种群a至少约含_____________kJ。

(3)在池塘中,种群b数量的增长将导致种群a的增长,而种群a数量的增长又会抑制b数量的增加,这说明信息传递方向是_______________。

(4)养殖户借鉴外地经验,改变了生产方式,在塘基上种桑树,用蚕沙喂鱼,塘泥肥桑。这么做的优点是_____________________________________________。

(5)由于生活污水大量排入,该池塘连续多次发生蓝藻爆发,引起c死亡。导致c死亡的主要原因是生活环境中缺少_____________________。

试题详情


同步练习册答案