题目列表(包括答案和解析)

 0  212101  212109  212115  212119  212125  212127  212131  212137  212139  212145  212151  212155  212157  212161  212167  212169  212175  212179  212181  212185  212187  212191  212193  212195  212196  212197  212199  212200  212201  212203  212205  212209  212211  212215  212217  212221  212227  212229  212235  212239  212241  212245  212251  212257  212259  212265  212269  212271  212277  212281  212287  212295  447348 

17.(9分)(2009·潍坊市统考)下图是人体细胞中两种重要有机物A和E的元素组成及相互关系图,请据图回答:

(1)请写出两种重要有机物A和E的其他元素组成:

A.____________ E.______________

(2)D为________,它彻底水解的产物是________。

(3)E具有多样性,其原因是:从b分析是由于_____________________________,从A分析是由于____________________________。

(4)④反应过程为________,若b的平均分子量为r,通过④反应过程形成m条肽链,经盘曲折叠构成分子量为c的E,则E分子中肽键的数目是________。

(5)染色体是________的主要载体,它主要分布在细胞核里,用甲基绿染色剂对口腔上皮细胞染色,可在显微镜下观察到细胞核呈绿色。

[答案] (1)N、P N (2)mRNA 磷酸、核糖、碱基

(3)组成B的b种类、数量、排列顺序不同 组成A的a排列顺序不同

(4)脱水缩合 (c-rm)/r-18 (5)基因

试题详情

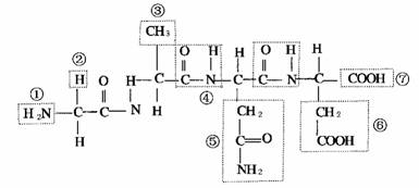
16.(24分)分析下列化合物的结构,回答下列问题:

(1)图中①示________,④示________,⑦示________。

(2)该化合物由________个氨基酸通过________方式而形成,形成的场所是________,直接决定上述氨基酸种类和顺序的是________________________________________。

(3)该化合物有________个肽键,该化合物叫________。

(4)该化合物中的氨基酸种类不同是由________决定的,其编号是________。这些氨基酸可用通式表示为________。

(5)该化合物含有________个氨基,________个羧基,若完全水解成为氨基酸则需要________个水分子。

(6)牛胰岛素是由51个氨基酸组成的两条肽链,共有________个肽键,两条肽链至少含有________个氨基和________个羧基,氨基和羧基可分别表示为________和________,指导此胰岛素分子形成的基因中至少含________个碱基对。

(7)假定一个由m个氨基酸构成的含有n条肽链的蛋白质分子,氨基酸的平均分子量为a,那么,这个蛋白质分子的相对分子量表达式是________,肽链的首端与末端分别是________和________。

[答案] (1)氨基 肽键 羧基

(2)4 脱水缩合 核糖体 信使

RNA上核苷酸(或碱基)的排列顺序。

(3)3 四肽

(4)R基 ②③⑤⑥ 

(5)2 2 3

(6)49 2 2 

-NH2 -COOH 

153

试题详情

15.(2009·山东省烟台市高三检测)现有一被检样品提取液,经双缩脲试剂检验,样液产生紫色反应;经斐林试剂检测,无明显砖红色,经处理后用苏丹Ⅲ测试,有橘黄色反应。该样品可能是                                                        ( )

A.无糖全脱脂奶粉                     B.纯天然牛奶

C.加高果糖浆的果汁                   D.普通豆奶粉

[解析] 该样品提取液经双缩脲试剂检验,样液产生紫色反应表明样液中含蛋白质,经斐林试剂检验,无明显砖红色,表明样液中几乎无还原糖,经苏丹Ⅲ测试有橘黄色反应,表明样液中含脂肪,故只有B选项符合题意(普通豆奶粉中含糖)。

[答案] B

试题详情

14.(2009·潍坊统一考试)纤维素、纤维素酶、纤维素酶基因的基本组成单位依次是( )

A.葡萄糖、葡萄糖和氨基酸

B.葡萄糖、氨基酸和脱氧核苷酸

C.氨基酸、氨基酸和脱氧核苷酸

D.淀粉、蛋白质和DNA

[解析] 纤维素属于多糖,基本单位是单糖--葡萄糖,纤维素酶的化学成分是蛋白质,故基本单位是氨基酸,纤维素酶基因的基本单位则是脱氧核苷酸。

[答案] B

试题详情

13.(2009·徐州高三联考)下图表示有关蛋白质分子的简要概念图,对图示分析正确的是( )

A.A中肯定含有S元素

B.①过程发生所需模板和运输B的工具都是RNA

C.多肽中B的数目等于C的数目

D.蛋白质结构和功能的多样性是细胞多样性的根本原因

[答案] B

试题详情

12.(2009·衡阳质检)对组成细胞的有机物描述正确的是                      ( )

A.多肽链在核糖体上一旦形成便具有生物活性

B.淀粉和蔗糖的基本单位分别是麦芽糖和葡萄糖

C.细胞核内的核酸只含脱氧核糖,细胞质中的核酸只含核糖

D.蛋白质与物质出入细胞、物质在细胞内的合成与分解、细胞分裂都有关系

[解析] 在核糖体上合成的肽链只有形成空间结构以后才具有生物学活性;淀粉和蔗糖的基本单位都是葡萄糖;DNA、RNA在细胞核和细胞质中都含有,因此细胞核和细胞质的核酸中既有脱氧核糖也有核糖;物质出入细胞与载体有关,物质在细胞内的合成与分解与酶有关,细胞分裂过程也需要酶的参与,载体、大多数酶都是蛋白质。

[答案] D

试题详情

11.(2009·武汉质检)某多肽分子结构如下图所示,下列关于该多肽的正确叙述是( )

A.该多肽水解后可生产5种氨基酸

B.该多肽属于6肽化合物,含有4个肽键

C.该多肽的合成车间是核糖体

D.该多肽的分泌不需要ATP

[解析] 该多肽中含有4个肽键,故是由5个氨基酸脱水缩合而成,属于五肽,B错误。因左起第2、3两个氨基酸的R基相同(-H),为同种氨基酸,所以氨基酸的种类是4种,A错误。把氨基酸合成多肽链的场所是核糖体,分泌到细胞外的过程需要消耗ATP。

[答案] C

试题详情

10.(2009·兰州一中高三月考)某化合物含C、H、O、N、S等元素,下列哪项最不可能是它的功能                                                        ( )

A.降低血糖浓度

B.抵抗病毒引起的感染

C.激发并维持第二性征

D.在特定的位点上切割基因

[答案] C

试题详情

9.(2009·广东省连州市模拟)某三十九肽中共有丙氨酸4个,现去掉其中的丙氨酸得到4条长短不等的多肽(如图),下列有关该过程的叙述中,错误的是             ( )

A.肽键数目减少8个

B.C原子减少12个

C.氨基和羧基分别增加3个

D.O原子数目减少

[解析] 本题解答时关键是识别多肽链断裂的位置,即可找到丙氨酸,丙氨酸位置在8、18、27、39,前3个丙氨酸居于肽链中间,切断时需水解掉3×2个肽键,39号丙氨酸只需水解掉1个肽键即可,故共减少7个肽键。

[答案] A

试题详情

8.(2009·大同质检)下列物质中都含有(-CO-NH-)的一类物质是          ( )

A.酶、载体和抗体

B.胰岛素、抗体和生长激素

C.雄性激素、载体和酶

D.维生素D、甲状腺激素和雌性激素

[解析] 综合考查蛋白质的结构和分类。在有机物中含有-CO-NH-的主要是蛋白质和多肽,只有多数酶属于蛋白质,维生素D、性激素属于脂质,胰岛素和生长激素属于蛋白质类激素,所有的抗体、载体都属于蛋白质。

[答案] B

试题详情


同步练习册答案