题目列表(包括答案和解析)

 0  212476  212484  212490  212494  212500  212502  212506  212512  212514  212520  212526  212530  212532  212536  212542  212544  212550  212554  212556  212560  212562  212566  212568  212570  212571  212572  212574  212575  212576  212578  212580  212584  212586  212590  212592  212596  212602  212604  212610  212614  212616  212620  212626  212632  212634  212640  212644  212646  212652  212656  212662  212670  447348 

17.(2009年江西重点第一次联考)在一个生态系统中, A种群有10个个体, B种群有100个个体, C种群有1 000个个体, D种群有10 000个个体,则它们的食物链关系是

( )

A.A→B→C→D             B.D→C→B→A

C.C→D→B→A             D.不能确定

[答案] D

试题详情

16.(2009年济南)下列关于种群、群落和生态系统的描述,不正确的是

( )

A.生物群落的结构是随着时间的推移而不断变化的

B.研究海洋鱼类种群数量变化规律有利于确定合理的捕捞量

C.农田生态系统对太阳能的利用率高于森林生态系统

D.北极苔原生态系统的抵抗力稳定性较低

[答案] C

试题详情

15.(2009年宝鸡二次质检)右图表示生活在同一自然区域内的部分生物,对图中各生物关系的分析合理的是

( )

A.若蛇种群的年龄组成为增长型,则鹰种群密度可能增大

B.该食物网构成一个生物群落

C.鹰和鹿存在着地理隔离和生殖隔离

D.图中虫获得的能量占草能量的10%-20%

[答案] A

试题详情

14.关于生物圈的稳态,正确的表达是

( )

A.生物圈的结构十分稳定,不发生变化

B.生物圈的功能很完善且十分稳定

C.生物圈的结构和功能能长期维持不变状态

D.生物圈的结构和功能能长期维持相对稳定状态

[解析] 生物圈的稳态是指生物圈中生物群落内的生产者、消费者、分解者之间的能量流动和物质循环能够较长时间地保持一种动态平衡,因此,生物的结构和功能不是稳定不变的,而是在不断变化之中保持相对稳定状态。

[答案] D

试题详情

13.(2009年抚顺模拟)如下图中a、b、c、d表示某生态系统的四种成分,箭头表示各成分之间的关系,下列相关叙述中正确的是

( )

A.a和c所包含的所有种群构成群落

B.c1的同化量越大,流向c2的能量就越少

C.d不一定是原核生物

D.b的含量增加将减缓温室效应

[答案] C

试题详情

12.(2009年山东高考)与海洋、森林并称为地球三大生态体系的湿地,具有强大的生态净化作用,被喻为“地球之肾”。湖泊、沼泽、河口三角洲、沿海滩涂等都属于湿地范畴。湿地的保护与维持利用已成为当今国际社会关注的热点。下列关于湿地的说法正确的是

( )

①湿地具有重要的经济功能和生态服务功能 ②为了增加当地种植业收入,应将天然湿地围垦造田 ③在湿地生态环境中,水生植物、鱼类及软体动物、鸟类等形成食物链 ④湿地的减少对当地的气候、蓄洪防洪有影响,但不会对污染物降解产生影响

A.①②                 B.①③

C.②④                 D.③④

[答案] B

试题详情

11.种群是生态学研究的一个重要内容,下列有关种群的正确叙述是

( )

A.种群是指一个生态系统中同种生物所有成熟个体的总和

B.一个呈“S”型增长的种群中,种群增长率在各阶段是不同的,在种群数量K/2时增长率最大

C.种群中各年龄期的个体数目比例适中,这样的种群正处于发展阶段

D.合理密植农作物时,其种群数量可以大于K值

[解析] 种群是指生活在同一地点的同种生物的一群个体,包括不同年龄阶段的同种个体的总和;在“S”型增长曲线中,增长率在各阶段是不同的,在种群数量达K/2时增长率最大;种群中各年龄期的个体数目比例适中,这样的种群将保持相对稳定;种群数量的最大值是K值,不会因合理密植与否而改变。

[答案] B

试题详情

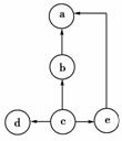
10.(2010年山东潍坊一模)右图表示某生态系统的营养结构,a-e代表各营养级的生物。下列说法错误的是

( )

A.图中没有标出非生物的物质和能量、分解者

B.图中生物通过能量流动、物质循环和信息传递而相互联系

C.种群b数量的增长会导致种群a的增长,而种群a数量的增长又会抑制b数量的增加,这是负反馈调节机制

D.若该系统中种群c固定的总能量为6.8×109 kJ,种群d含的能量1.3×108 kJ,则种群a至少约含5.5×106 kJ

[答案] D

试题详情

9.如下图所示为某湖泊生态系统能量流动的定量分析图解,图中A、B、C代表三个营养级,数字均为实际测得的能量数值,单位为J/(cm2·a)。已知该生态系统受到的太阳辐射总能量为118 872 J(cm2·a),但其中118 761 J(cm2·a)的能量未被利用。下列叙述不正确的是

( )

A.A固定的总的太阳能是111 J(cm2·a)

B.从第一营养级到第二营养级的传递效率是18.4%

C.在B同化的总能量中,细胞呼吸消耗的能量约占16.7%

D.相邻营养级之间的能量传递效率一般是10%-20%

[答案] B

试题详情

8.如下图为某一区域M、N两物种的资源利用曲线,下列表述正确的是

( )

A.曲线不重叠时,M与N不存在竞争

B.b越大,生物适应环境能力越弱

C.d<b时,M与N种间竞争激烈

D.M、N将呈现“J”型增长

[解析] 这两个物种处于共同的区域内,生态位重叠,有竞争关系;题中b是指每一物种摄取食物种类的多少,该值越大,食物链越复杂,表示生物适应能力越强;d越小表示这两个物种共同的食物越多,竞争越激烈,故C项正确。此为有限的环境中,两物种的种群增长曲线只能是“S”型。

[答案] C

试题详情


同步练习册答案