题目列表(包括答案和解析)

 0  29254  29262  29268  29272  29278  29280  29284  29290  29292  29298  29304  29308  29310  29314  29320  29322  29328  29332  29334  29338  29340  29344  29346  29348  29349  29350  29352  29353  29354  29356  29358  29362  29364  29368  29370  29374  29380  29382  29388  29392  29394  29398  29404  29410  29412  29418  29422  29424  29430  29434  29440  29448  447348 

5、下列物质中既能与盐酸反应,又能与NaOH溶液反应的是(  )

   ①NaHCO3     ② (NH4)2CO3      ③Al(OH)3

④NH4Cl      ⑤H2NCH2COOH    ⑥CH3COOH

A.①②③   B.①②④⑤   C. ⑤⑥     D.①②③⑤

试题详情

4、只用一种试剂就可以鉴别苯、碘化钾溶液、硝酸银溶液、己烯、四氯化碳,这种试剂是(  )

  A.NaOH溶液      B.KMnO4溶液     C.溴水     D.Na2CO3

试题详情

3、下列说法不正确的是(  )                                                 

A.共价化合物和离子化合物中,一定都含有非金属元素。

B.离子化合物中,一定既含有金属元素又含有非金属元素。

C.化学变化过程,一定会破坏旧的化学键,同时形成新的化学键。

D.所有化学反应都伴随着能量变化。

试题详情

2、下列物质属于天然高分子化合物的是(  )

   A.聚乙烯        B.尼龙        C.油脂      D.纤维素

试题详情

1、下列化学名词正确的是(  )

A.溴笨        B.氨基酸      C.乙酸乙脂    D.氯化氨

试题详情

23.(13分)下图表示有关物质(均由短周期元素形成)之间的转化关系,其中A为常见的金属单质,B为非金属单质(一般是黑色粉末),C是常见的无色无味液体,D是淡黄色的固体化合物(反应条件图中已省略)。

(1)A、D、F所代表物质的化学式分别为        

(2)反应①中A恰好完全反应,C过量,写出该反应过程的所有化学方程式        

                   

(3)反应②中,若参加反应的B与F 的物质的量之比为3∶2,则生成的G与H物质的量之比为    

(4)反应④的离子方程式是                    

(5)写出溶液乙与浓的氯化镁溶液混合时所发生反应的离子方程式      

         

命题人:李盛森  郭丽

2009年重庆一中高2011级月考

试题详情

22.(12分)实验室常利用甲醛(HCHO)法测定(NH4)2SO4样品中氮元素的质量分数,其反应原理为:4NH4++6HCHO=3H++6H2O+(CH2)6N4H+,然后用NaOH标准溶液滴定反应生成的酸[滴定时,1mol (CH2)6N4H+与1mol H+相当]。某兴趣小组用甲醛法进行了如下实验: 步骤I:准确称取样品1.4 g。 步骤Ⅱ:将样品溶解后,完全转移到250 mL容量瓶中,定容,充分摇匀。 步骤Ⅲ:移取25.00 mL样品溶液于250 mL锥形瓶中,加入10 mL 20%的中性甲醛溶液(足量)并摇匀,静置5 min后加入1-2滴酚酞试液,用NaOH标准溶液滴定至终点。按上述操作方法再重复2次。

  根据步骤Ⅲ填空:

 (1)NaOH标准溶液应装在    (填“酸式”或“碱式”)滴定管。当滴定达到终点时,锥形瓶中溶液的颜色是    色。 

 (2)若所用滴定管的量程是25.00 mL,当管内凹液面最低处位于4.00 mL时,管内所装溶液的体积为    

  A.等于4.00 mL    B.大于4.00 mL   C.等于21.00 mL    D.大于21.00 mL

(3)在滴定过程中应边滴边摇动锥形瓶,眼睛应注视     。  A.滴定管内液面的变化     B.锥形瓶内溶液颜色的变化  C.锥形瓶内溶液体积的变化    D.液体的滴速

 (4)滴定结果如下表所示:

滴定次数
待测溶液的体积/mL
      标准溶液的体积
滴定前刻度/mL
滴定后刻度/mL
   1
   25.00
    1.02
   21.03
   2
   25.00
    2.00
   21.99
   3
   25.00
    0.20
   20.20

若NaOH标准溶液的浓度为0.1 mol/L,则该样品中氮元素的质量分数为   

(5)下列操作可能会使测得的结果偏高的是    

A.碱式滴定管用蒸馏水洗涤后,直接加入NaOH标准溶液进行滴定 B.锥形瓶用蒸馏水洗涤后,未用待装溶液润洗

C.滴定前碱式滴定管的尖嘴处有气泡,滴定后消失

D.滴定完成后仰视读数

E.终点时颜色发生变化后立即读数

试题详情

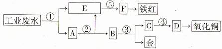
21.(10分)某厂的酸性工业废水中含有一定量的Fe3+、Cu2+、Au3+等离子。有人设计了图中的工艺流程,利用常用的强酸、强碱和工业生产中的废铁屑,从废水中回收金,并生产一定量的铁红和氧化铜。

填写下面空白:

(1)图中标号处需加入的相应物质的名称分别是①   、②   、  ③   、④   

(2)写出上述流程中与Au3+有关的离子方程式      

(3)写出③处发生反应的化学方程式        

(4)写出铁红与足量HI溶液反应的离子方程式           

试题详情

20.(10分)明矾在常温下是一种无色透明的晶体,它是医学上的常用药物,可用于治疗高血脂、溃疡等病症。明矾在其它领域也有着广泛应用。

  (1)明矾的化学式是      

  (2)明矾可用作净水剂,用一个离子方程式表示其原理          

  (3)泡沫灭火器内所装的溶液可以选择明矾溶液和NaHCO3溶液,写出这两种溶液混合时所发生反应的离子方程式             

  (4)向明矾溶液中逐滴滴加Ba(OH)2溶液至产生沉淀的质量达到最大值,用一个离子方程式表示该过程发生的反应               

  (5)向 50 mL 1 mol/L明矾溶液中加入一定体积1.5 mol/L NaOH溶液,充分反应后产生 1.56 g沉淀,则加入NaOH溶液的体积可能为       mL。

试题详情

19.(11分)硫酸被人们誉为“化学工业之母”,在国民生产中发挥着重要作用,硫酸的产量是衡量一个国家化学工业水平的标志。工业上生产硫酸包括三步:

(1)第一步,在沸腾炉中煅烧黄铁矿,反应如下:4FeS2+11O28SO2+2Fe2O3,该反应的氧化产物是    ,当生成8 mol SO2时转移电子的物质的量为  

(2)第二步,在接触室中发生如下反应:2SO2+O22SO3。某科技小组的同学在一个恒温恒容的容器中模拟该反应,他们分两次进行实验,第一次向容器中加入2 mol SO2、1 mol O2,反应达平衡后测得SO2的转化率为α1,第二次向容器中加入3 mol SO2、1.5 mol O2, 反应达平衡后测得SO2的转化率为α2,则α1   α2(填“大于”、“等于”或“小于”)。

(3)第三步,在吸收塔中将SO3转化成硫酸。硫酸是化学实验中的常用试剂:

①有Na、Mg、Al、Cu四种金属,若两两混合后取混合物14 g与足量稀硫酸反应,产生标准状况下H2 5.6 L,则此混和物的组合方式最多有    种。

②可用稀硫酸与FeS反应来制H2S,H2S的水溶液叫做氢硫酸,它是一种二元弱酸。现将0.1 mol/L H2S溶液与0.2 mol/L NaOH溶液等体积混合,所得混合液中的关系正确的是    

A.c(Na+)+c(H+)=c(HS)+c(OH)+2c(S2)   B. c(H2S) +c(HS) +c(S2) =0.1 mol·L-1   C.2 c(H2S) +c(HS) + c(H+) = c(OH)      D.c(Na+)=2 c(H2S) +2c(HS) +2c(S2)

试题详情


同步练习册答案