题目列表(包括答案和解析)

 0  30011  30019  30025  30029  30035  30037  30041  30047  30049  30055  30061  30065  30067  30071  30077  30079  30085  30089  30091  30095  30097  30101  30103  30105  30106  30107  30109  30110  30111  30113  30115  30119  30121  30125  30127  30131  30137  30139  30145  30149  30151  30155  30161  30167  30169  30175  30179  30181  30187  30191  30197  30205  447348 

29.(9分)有A、B、C、D四种烃。A、B具有相同的通式,且均为气态;B含有的碳原子数为A的两倍;A完全燃烧生成的CO2和水蒸气体积比是2:1;B能使溴水褪色,且每个碳原子上都结合一个溴原子;C的实验式与A相同,但C在常温常压下为液态,且不与溴水反应,C跟液溴发生取代反应,只产生一种一溴代物。D是比C多一个碳原子的同系物。试回答:

(1)A的结构式为      ;B的结构简式为      ;C的分子式为     

(2)D与浓硫酸、浓硝酸的混合物发生反应的方程式为:               

试题详情

28.(6分)0.2 mol某烃A在氧气中完全燃烧后,生成CO2和H2O各1.2 mol。若烃A能使溴水褪色,在催化剂作用下,与H2加成,其加成产物经测定分子中含有4个甲基,烃A可能有的结构简式为                              

                     

试题详情

25.下列卤代烃能发生消去反应的是     (   )

   A.CH3Cl          B.CHCl3        CCH2=CHCl          D.CH3CH2Br

Ⅱ卷(共40分)

26(10分).有机化学中的反应类型较多,将下列反应归类(填序号)。

①由乙炔制氯乙烯 ②乙烷在空气中燃烧③乙烯使溴的四氯化碳溶液褪色  ④乙烯使酸性高锰酸钾溶液褪色 ⑤由乙烯制聚乙烯   ⑥甲烷与氯气在光照的条件下反应 ⑦溴乙烷和氢氧化钠乙醇溶液共热⑧溴乙烷和氢氧化钠溶液共热

其中属于取代反应的是________;属于氧化反应的是.________;属于加成反应的是________;属消去反应的是________;属于聚合反应的是__________ 

27(4分)1 mol某不饱和烃可以和1 molCl2发生加成反应,生成2,3-二氯-2-甲基戊烷,该不饱和烃结构简式为          ,其系统命名为           

试题详情

24.证明溴乙烷中溴元素的存在,下列操作步骤中正确的是    (  )

   ①加入硝酸银溶液   ②加入氢氧化钠溶液      ③加热 

   ④加入蒸馏水     ⑤加入稀硝酸至溶液呈酸性    ⑥加入氢氧化钠醇溶液

A.④③①⑤    B.②③⑤①     C.④⑥③①     D.⑥③⑤①

试题详情

23.有机物X、Y分子式不同,它们只含C、H、O元素中的两种或三种,若将X、Y不论何种比例混合,只要其物质的量之和不变,完全燃烧时耗氧气量和生成水的物质的量也不变。X、Y可能是  (   )

A.C2H4、C2H6O            B. C2H2、C6H6   

C.CH2O、C3H6O2            D. CH4、C2H4O2 

试题详情

22、人们使用四百万只象鼻虫和它们的215磅粪物,历经30年多时间弄清了棉子象鼻虫的四种信息素的组成,它们的结构可表示如下:

以上四种信息素中互为同分异构体的是(   )

A  ①和②   B  ①和③   C  ③和④   D  ②和④

试题详情

21.某含有1个C≡C三键的炔烃,氢化后产物的结构式为 :   

 

则此炔烃可能的结构有   (  )

       A.1种            B.2种          C.3种            D.4种

试题详情

20.1 mol某链烃最多能和2 mol HCl发生加成反应,生成1 mol 氯代烷,1 mol该氯代烷能和6 mol Cl2发生取代反应,生成只含碳元素和氯元素的氯代烃,该烃可能是  (  )

A.CH3CH=CH2                          B.CH3C≡CH                        

C.CH3CH2C≡CH                        D.CH2=CHCH=CH2

试题详情

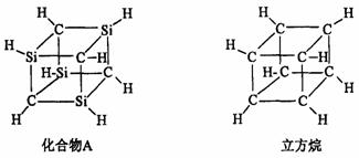
19.已知化合物A()与立方烷()的分子结构相似,如下图:

则C4Si4H8的二氯代物的同分异构体数目为        (  )    

A.3         B.4        C.5       D.6

试题详情

18.两种气态烃组成的混合气体0.1mol,完全燃烧得0.16molCO2和3.6g水。下列说法正确的是,混合气体中(   )

A.一定有甲烷   B.可能是甲烷和乙烯 C.一定没有乙烯   D.一定有乙炔

试题详情


同步练习册答案