题目列表(包括答案和解析)

 0  29988  29996  30002  30006  30012  30014  30018  30024  30026  30032  30038  30042  30044  30048  30054  30056  30062  30066  30068  30072  30074  30078  30080  30082  30083  30084  30086  30087  30088  30090  30092  30096  30098  30102  30104  30108  30114  30116  30122  30126  30128  30132  30138  30144  30146  30152  30156  30158  30164  30168  30174  30182  447348 

27.(12分).苯环上原有取代基对苯环上再导入另外取代基的位置有一定影响。其规律是(1)苯环上新导入的取代基的位置主要决定于原有取代基的性质;(2)可以把原有取代基分为两类: ①原取代基使新导入的取代基进入苯环的邻、对位;如:-OH、-CH3(或烃基)、-Cl、-Br等;②原取代基使新导入的取代基进入苯环的间位,如:-NO2、-SO3H、-CHO等。现有下列变化:(反应过程中每步只能引进一个新的取代基)

(1)请写出其中一些主要有机物的结构简式:

A       B       C        D       

(2)写出①②两步反应方程式:                        

                                 

 

试题详情

26. (6分)某同学为测定维生素C中碳、氢的质量分数,取维生素C样品研碎,称取该试样0.352 g,置于铂舟并放入燃烧管中,不断通入氧气流。用酒精喷灯持续加热样品,将生成物先后通过浓硫酸和碱石灰,两者分别增重0.144 g和0.528 g,生成物完全被吸收。试回答以下问题:

(1)   维生素C中碳的质量分数是_______________,氢的质量分数____________________

(2)   维生素中是否含有氧元素?为什么?(试通过计算说明)

                                  

(3)   如果需要你确定维生素C的分子式,你还需要哪些信息?

                                   

试题详情

25.(7分)有机物的结构可用“键线式”简化表示。CH3-CH=CH-CH3可简写为   

有机物X的键线式为:

(1)    有机物Y是X的同分异构体,

且属于芳香烃,写出Y的结构简式。                          

(2)X与足量的H2在一定条件下反应可生成环状的饱和烃Z,Z的一氯代物有     种。

(3)Y在一定条件下发生自身聚合反应,写出其反应的化学方程式:

                                        

试题详情

24.(12分)有A、B两种烃各5.6克完全燃烧后生成的气体分别通入足量的石灰水,均能得到40克沉淀;测得在同温、同压、同体积时B的质量是H2质量的14倍,又测得A与B乙在相同状况下蒸气密度比为 2:1,烃A、B都能使溴的四氯化碳溶液褪色,根据以上实验事实回答问题。

(1)推断A、B两烃的化学式。

A               ;B            

(2)A、B中     (填A、B的结构简式)存在同分异构体,同分异构体的名称是                           。(有多少写多少)

(3)写出B与溴的四氯化碳溶液反应的化学方程式:

                           

试题详情

23.    (2分)现有三组混合液:①乙酸乙酯和乙酸钠溶液  ②乙醇和丁醇  ③溴化钠和单质溴的水

溶液,分离以上各混合液的正确方法依次是(   )

①分液、萃取、蒸馏 ②萃取、蒸馏、分液 ③分液、蒸馏、萃取 ④蒸馏、萃取、分液

试题详情

22.(9分)回忆实验制取乙炔的装置图和有关知识,请填空:

   (1)实验前应先                 。制取乙炔的化学方程式是           

   (2)乙炔通入KMnO4酸性溶液中观察到的现象是           , 乙炔发生了          反应。

   (3)制得的乙炔常有异味原因是           ,  用       吸收该气体

   (4)为了安全,点燃乙炔前应                 ,乙炔燃烧时的实验现象是              

试题详情

21.分子式为C10H14的苯的同系物,其苯环上有4个甲基,符合条件的结构有:

  A、2种   B、3种   C、4种   D、5种

II卷(非选择题共48分)

试题详情

20.wg含有双键的不饱和烃X能与VL的氢气(标准状况)完全反应,若X的相对分子质量为M,阿伏加德罗常数为NA,则1 mol X中含有双键数目为 (  )          

                    

A.       B.        C.       D.

试题详情

19.下列物质一定属于同系物的是  (  ) 

 

]

A.④和⑧     B.①、②和③     C.⑤和⑦    D.④、⑥和⑧

试题详情

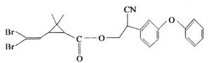
18.拟除虫菊酯是一类高效、低毒、对昆虫具有强烈触杀作用的杀虫剂,其中对光稳定的溴氰菊酯的结构简式如图,下列对该化合物叙述正确的是        

 

A.属于芳香烃         B.属于卤代烃   

C.在酸性条件下不水解     D.在一定条件下可以发生加成反应(  )

试题详情


同步练习册答案