题目列表(包括答案和解析)

 0  30275  30283  30289  30293  30299  30301  30305  30311  30313  30319  30325  30329  30331  30335  30341  30343  30349  30353  30355  30359  30361  30365  30367  30369  30370  30371  30373  30374  30375  30377  30379  30383  30385  30389  30391  30395  30401  30403  30409  30413  30415  30419  30425  30431  30433  30439  30443  30445  30451  30455  30461  30469  447348 

22、(3分)下列反应类型:①取代 ②加成  ③消去  ④酯化  ⑤氧化  ⑥还原  可在有机物中引入羟基的反应类型是                     

试题详情

21、(4分)写出下列化合物作为单体聚合生成的高分子化合物的结构简式:

(1)聚合得__________________________         _  

 (2)已知在虚线处开环聚合得CH2CH2On,则

环聚合得_______________________________                   

 

试题详情

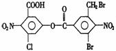
20、(2分)已知苯环上由于取代基的影响,使硝基邻位上的卤原子

的反应活性增强,现有某有机物的结构简式如右图。1mol该有机物与足量的氢氧化钠溶液混合并共热,充分反应后最多可消耗氢氧化钠的物质的量为      

试题详情

19、通式为C6H5-R(R为-H、-C2H5、-OH、-SO3H、-NO2和–COOH)的6种有有机物,取等质量的6种物质分别混合于乙醚中,然后用苛性钠溶液进行萃取,振荡一段时间后,静置,能进入水层的物质有(  )

A、1种      B、2种     C、3种    D、4种

试题详情

18、下列装置或操作能达到实验目的(必要的夹持装置及石棉网已省略)的是(  )   

A.实验室制乙烯      B.实验室制乙炔并验证乙炔发生氧化反应

C.实验室中分馏石油

D.若A为醋酸,B为贝壳(粉状),C为苯酚钠溶液,验证醋酸、苯酚、碳酸酸性的强弱(不考虑醋酸的挥发)

试题详情

17、难溶于水而且比水轻的含氧有机物是(   )

①硝基苯 ②甲苯 ③溴苯 ④植物油 ⑤蚁醛 ⑥乙酸乙酯 ⑦硬脂酸甘油酯

A.②④⑥⑦   B.①②④⑤    C.④⑥⑦    D.①②③

试题详情

16、甘氨酸和丙氨酸混合,在一定条件下,发生缩合反应生成二肽化合物共有(   )

A.5种       B.4种         C.3种         D.2种

试题详情

14、下列物质中,既不能通过反应使溴水褪色,也不能使酸性高锰酸钾溶液褪色的(  )

①C5H12      ②CH3C≡CCH3    ③       ④     

 ⑤CH2=CHCHO     ⑥

A.①③④       B.②⑤⑥      C.①④⑤         D.①③

试题详情

13、是某公司生产的一种新型除草剂,比原有除草剂大大提高了除草效率,关于这种物质的叙述中正确的是(   )

A、该物质的分子式为C16H12N3O3F3Cl2     B、该物质是一种芳香族化合物

C、该物质是一种卤代烃      D、该物质分子中所有原子可能处于同一平面上

试题详情

12、向淀粉中加入少量H2SO4,并加热使之水解,为测定水解程度所需下列试剂是(  )

①NaOH溶液  ②银氨溶液  ③新制的Cu(OH)2  ④碘水  ⑤BaCl2溶液

A.①⑤     B.②④     C.①③④      D.②③④

试题详情


同步练习册答案