题目列表(包括答案和解析)

 0  30214  30222  30228  30232  30238  30240  30244  30250  30252  30258  30264  30268  30270  30274  30280  30282  30288  30292  30294  30298  30300  30304  30306  30308  30309  30310  30312  30313  30314  30316  30318  30322  30324  30328  30330  30334  30340  30342  30348  30352  30354  30358  30364  30370  30372  30378  30382  30384  30390  30394  30400  30408  447348 

7、下列对有机物结构或性质的描述,错误的是

   A.一定条件下,Cl2可在甲苯的苯环或侧链上发生取代反应

   B.苯酚钠溶液中通入CO2生成苯酚,则碳酸的酸性比苯酚弱

   C.乙烷和丙烯的物质的量共1mol,完全燃烧生成3mol H2O

   D.光照下2, 2-二甲基丙烷与Br2反应,其一溴取代物只有一种

试题详情

6、有机物的种类繁多,但其命名是有规则的。下列有机物命名正确的是[来源:

试题详情

2、日常生活中的一些小窍门和小常识往往包含着科学道理。下列做法正确的是

①用钢丝球擦洗铝锅上的油污    ②用食醋清除暖水瓶中的水垢

③用热的纯碱水洗涤铁锅上的油污  ④用汽油清洗电风扇叶片漆面上的污渍

   A.①②     B.①④     C.②④     D.②③

试题详情

1、下列是除去括号内杂质的有关操作,其中正确的是

   A.分离苯和己烷:分液

   B.NO(NO2):通过水洗、干燥后,用向下排气法收集

   C.乙烷(乙烯):让气体通过盛酸性高锰酸钾溶液的洗气瓶

   D.乙醇(乙酸):加足量NaOH溶液蒸馏

试题详情

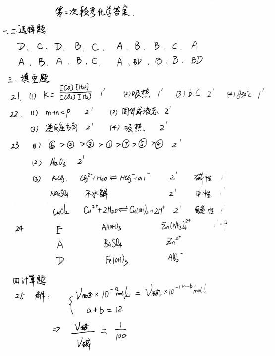
25、常温下某强酸溶液pH=a,强碱溶液pH=b,已知a+b=12,酸碱溶液混合pH=7,求酸溶液体积V(酸)和碱溶液体积V(碱)的关系。 

试题详情

24、(9分)已知,向Zn2+离子溶液中滴加氨水,生成Zn(OH)­2白色沉淀;但是氨水过量时,沉淀又溶解,生成了Zn(NH3)42+。此外,Zn(OH)2既可溶于盐酸,也可溶于过量NaOH溶液中,生成ZnO22-,所以Zn(OH)2是一种两性氢氧化物。

现有3组离子,每组有2种金属离子。请各选用1种试剂,将它们两者分开。可供选用的试剂有:A 硫酸 B 盐酸 C 硝酸 D 氢氧化钠溶液 E 氨水(填写时用字母代号)

请填写下表:

   离子组
选用的试剂(填代号)
 沉淀物的化学式
保留在溶液中的离子
Zn2+和Al3+
 
 
 
Zn2+和Ba2+
 
 
 
Fe3+和Al3+
 
 
 

试题详情

23、(共13分)

(1)、(2分)物质的量浓度均为0.1 mol/L的下列溶液: ①KNO3、 ②Na2CO3、③NaHCO3、④NaHSO4、⑤CH3COOH、⑥NaOH、⑦NH4Cl,pH 由大到小的顺

序为(填序号)                  

(2)、(2分)将AlCl3溶于水后,经加热蒸发、蒸干,灼烧,最后所得白色固体的

主要成分是  ________    

(3)、下列盐溶液能发生水解的用离子方程式表示,不能发生水解的写“不发生水解”字样,并说明溶液的酸碱性(9分)

K 2CO3                           

溶液呈    性;

Na2SO4                                     

溶液呈     性;

CuCl2                                      

溶液呈     性;

试题详情

22、(8分)在一定条件下,可逆反应:mA+nBpC达到平衡,若:

(1)A、B、C都是气体,减少压强,平衡向正反应方向移动,则m+n和p的关

系是            

(2)A、C是气体,增加B的量,平衡不移动,则B为      态。

(3)A、C是气体,而且m+n=p,增大压强可使平衡发生移动,则平衡移动的方

向是               

(4)加热后,可使C的质量增加,则正反应是       反应(放热或吸热)。

试题详情

21.(5分)在一定体积的密闭容器中,进行如下化学反应:

CO2(g)+H2(g) CO(g)+H2O(g),

其化学平衡常数K和温度t的关系如下表:

t℃
700
800
830
1000
1200
K
0.6
0.9
1.0
1.7
2.6

回答下列问题:

(1)该反应的化学平衡常数表达式为K=          

(2)该反应为      反应(选填吸热、放热)。

(3)能判断该反应是否达到化学平衡状态的依据是      

a.容器中压强不变        b.混合气体中 c(CO)不变

c.v(H2)=v(H2O)      d.c(CO2)=c(CO)

(4)某温度下,平衡浓度符合下式: c(CO2)·c(H2)=c(CO)·c(H2O),试判断此时的温度为    ℃。

试题详情

20、下列反应的离子方程式正确的是:

      A.次氯酸钙溶液中通入过量二氧化碳                Ca2+ + 2ClO- + H2O + CO2 == CaCO3¯ + 2HClO       B.硫酸亚铁溶液中加过氧化氢溶液                2Fe2+ + H2O2 + 2H+ ==2Fe3+ + 2H2O       C.用氨水吸收少量二氧化硫                NH3·H2O + SO2 == NH+ HSO       D.硝酸铁溶液中加过量氨水                Fe3+ + 3NH3·H2O == Fe(OH)3¯ + 3NH

选修4《化学反应原理》第二次段考

第II卷(共40分)

试题详情


同步练习册答案