题目列表(包括答案和解析)

 0  57477  57485  57491  57495  57501  57503  57507  57513  57515  57521  57527  57531  57533  57537  57543  57545  57551  57555  57557  57561  57563  57567  57569  57571  57572  57573  57575  57576  57577  57579  57581  57585  57587  57591  57593  57597  57603  57605  57611  57615  57617  57621  57627  57633  57635  57641  57645  57647  57653  57657  57663  57671  447348 

9. 写出9个得数是14的加法算式.

___________ ____________ _______________

___________ ____________ _______________

___________ ____________ _______________ 

试题详情

8.  8+(  )=14

  (  )+2=11

  (  )+7=15

  9+(  )=16 

试题详情

7.  8+(  )=12

  (  )+5=11

  7+(  )=13

  6+(  )=12 

试题详情

6. 写出和左边得数相等的式子.

 

试题详情

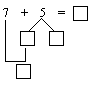
5. 写出和左边得数相等的式子.

 

试题详情

4.  

试题详情

3.  

试题详情

2.  

试题详情

1.  

试题详情

4. 妈妈买来15个苹果, 吃掉10个, 还剩多少个?

 □○□=□(个)

 口答:还剩___________ 个.

小学数学第一册第五单元试卷(二、7-2加几)(B)

试题详情


同步练习册答案