题目列表(包括答案和解析)

 0  61308  61316  61322  61326  61332  61334  61338  61344  61346  61352  61358  61362  61364  61368  61374  61376  61382  61386  61388  61392  61394  61398  61400  61402  61403  61404  61406  61407  61408  61410  61412  61416  61418  61422  61424  61428  61434  61436  61442  61446  61448  61452  61458  61464  61466  61472  61476  61478  61484  61488  61494  61502  447348 

7、                                                                     8、

试题详情

5、       6、

试题详情

3、                                                                        

试题详情

1、         2、

 

            4、 

试题详情

25、(12分)

汽车行驶中,速度往往是变化的 ,下图表示一辆汽车的速度随时间变化的情况。

(1)    汽车行驶了多长时间?它的最高速度是多少?

(2)    除开始和最后时刻外,汽车是否停过车?

(3)    汽车在哪个时间段内保持匀速行驶?时间是多少?

在哪个时间段内加速行驶?时间是多少?

(4)    用自己的语言大致描述这辆车的行驶情况。

 

试题详情

24、(10分)

河的一旁有两个村子A、B, 要在河边建一水泵站引水到村里.一村民画了                                           

一张图, 以直线表示一条河, 在河的另一边作A的对称点C,连接BC得与的交点P,那么P到A、B的距离和总比上其它点到A、B的距离和短,你能说出其中的道理吗?

                 

试题详情

23、(8分)

下面是《NBA2004-05赛季火箭季后赛赛程及姚明技术统计表》

问题:1)姚明第五场球得分是多少?         。

   2)这七场球中姚明得分最高是多少?最低是多少?          

   3)请设计适当的统计图来表示姚明在季后赛这七场球赛中的表现。

试题详情

22、、已知如图,要测量水池的宽AB,可过 点A作直线AC⊥AB,再由点C观测,    

在BA延长线上找一点B’,使∠ACB’=∠AC B,这时只要量出A’B’的长,就知道    

 AB的长,对吗?为什么?  (8分)          

试题详情

21、(6分)在下面过程中的横线上填空,并在括号内注明理由。

已知:如图BC∥EF,BC=EF,AB=DE     

  说明AC与DF相等。

解:∵BC∥EF(已知)

∴∠ABC=∠__________

(           )

在△ABC和△DEF中                   

    BC=EF

∵   _∠ABC =      

AB=DE 

∴△ABC≌___________  (     )

∴AC=DF  (                )   

试题详情

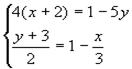
20、计算:(4分×3=12分)

(1)(2x+3y)- 3(2x-y)    (2)

(3)(x-2y)(x+2y)- 2(x-y)2

试题详情


同步练习册答案