题目列表(包括答案和解析)

 0  61368  61376  61382  61386  61392  61394  61398  61404  61406  61412  61418  61422  61424  61428  61434  61436  61442  61446  61448  61452  61454  61458  61460  61462  61463  61464  61466  61467  61468  61470  61472  61476  61478  61482  61484  61488  61494  61496  61502  61506  61508  61512  61518  61524  61526  61532  61536  61538  61544  61548  61554  61562  447348 

15.已知是同类项,则的值分别是      (   )

A.4、1       B.1、4       C.0、8      D.8、0  

试题详情

14.下列方程组中与具有相同的解的方程组是      (   )

A.  B.   C.   D.

试题详情

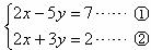
13.用加减法解方程组时,由②-①得     (   )

A.     B.     C.    D.

试题详情

12.用代入法解方程组,下列解法中最简便的是(   )

A.由①得代入②       B.由①得代入②

C.由②得代入①        D.由②得代入①

试题详情

11.方程组的解是                 (    )

A.   B.   C.   D.

试题详情

10.下列方程组中,是二元一次方程组的是        (    )

A.   B.   C.   D.

试题详情

9.写出一个关于x、y的二元一次方程组,这个方程组的解为,那么你所写的方程组是

_____________________________。

试题详情

8.娃哈哈矿泉水有大箱和小箱两种包装,3大箱,2小箱共92瓶;5大箱,3小箱共150瓶,那么一大箱有___________瓶,一小箱有__________瓶。

试题详情

7.若,则x=___________,y=____________。

试题详情

6.甲数的60%与乙数的差是甲乙两数和的一半,设甲数的x,乙数为y,那么列方程是__________________________。

试题详情


同步练习册答案