题目列表(包括答案和解析)

 0  64504  64512  64518  64522  64528  64530  64534  64540  64542  64548  64554  64558  64560  64564  64570  64572  64578  64582  64584  64588  64590  64594  64596  64598  64599  64600  64602  64603  64604  64606  64608  64612  64614  64618  64620  64624  64630  64632  64638  64642  64644  64648  64654  64660  64662  64668  64672  64674  64680  64684  64690  64698  447348 

4.下列正多边形的组合中,能够铺满地面的有             (    )

A.整八边形和正方形          B.正七边形和正三角形

C.正五边形和正八边形         D.正八边形和正三角形

试题详情

3.在一个多边形的内角中,锐角最多可以有              (    )

A.1个    B.2个   C.3个   D.4个

试题详情

2.若三角形的三个内角的比值为1:2:3,则此三角形为         (    )

A.锐角三角形          B.直角三角形  

C.等边三角形          D.钝角三角形

试题详情

1.在三角形的三个外角中,锐角最多只有               (    )

A.3个      B.2个      C.1个      D.0个

试题详情

5. (本小题满分10分)

如图,已知直角△ABC中,∠BAC=90°,∠B=56°,AD⊥BC,DE∥CA.   求:∠ADE的度数.   

试题详情

4. (本小题满分10分)

有一只驳船,载重量是800吨,容积是795立方米,现在装运生铁和棉花两种物资,生铁每吨的体积为0.3立方米,棉花每吨的体积为4立方米,生铁和棉花各装多少吨,才能充分利用船的载重量和容积?

试题详情

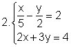
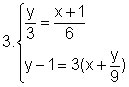
3. 解下列方程组:(本小题满分16分)            

试题详情

2. .甲、乙两个仓库都贮存粮食,甲库的存粮是乙库存粮的3倍.如果      甲、乙两仓库原有存粮各多少?

试题详情

1. (本小题满分7分)

一列货车用每小时48公里的速度由某站出发,50分钟后又由同一     行驶多长时间可以追上货车?

试题详情

10. △ABC中,∠A是∠B的2倍,∠C比∠A+∠B大12°,△ABC   是_______________三角形。

试题详情


同步练习册答案