题目列表(包括答案和解析)

 0  64503  64511  64517  64521  64527  64529  64533  64539  64541  64547  64553  64557  64559  64563  64569  64571  64577  64581  64583  64587  64589  64593  64595  64597  64598  64599  64601  64602  64603  64605  64607  64611  64613  64617  64619  64623  64629  64631  64637  64641  64643  64647  64653  64659  64661  64667  64671  64673  64679  64683  64689  64697  447348 

9.已知关于x的一元一次方程ax+b=cx+d无解,则a,b,c,d应满足的条   件是   

试题详情

1.已知4x+2y-3=0,则y=_______, 当x=1时,y=_____________     3.写出方程x+y=6,在下列集合中解的个数;在有理数集合中    ,在负数  集合中    , 在正整数集合中 _______________ 。          则a=_____,b= ________,c= _______.这个代数式是 ___________。    7.若|2x-y+1|+|x+2y-5|=0,则x=  ,y=    。  8.若x∶y∶z = 2∶7∶5,当z =10时,x=   ,y=  

试题详情

10. 已知三角形的两条边长为2和7及第三边为奇数,则三角形周长为( )   A. 14  B. 15  C. 16  D.17

试题详情

9. 已知△ABC中,∠A=∠B= 3∠C,则∠C的大小为 ( )   

试题详情

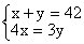
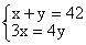
8.甲、乙两数之和是42,甲数的3倍等于乙数的4倍,求甲、乙两数.若设甲数为x,  乙数为y,则得下列方程组:( )         所列方程组正确的个数为:( )  A.1个  B.2个  C.3个  D.4个

试题详情

7.在方程4x-3y=12中,若x=0,那么对应的y值应为:( )        A.4   B.-4  C.3  D.-3

试题详情

6.已知则x+y的值为(   )

A 0  B 1  C -1  D 无法确定

试题详情

2.方程(x-2)(x-3)=0的解是( )   A.3  B.2  C.3或2  D.0

( )   A. 2(x-1)-(x+2)=3(4-x)   B. 2x-2-x+2=12-3x   C. 4x=12   D. x=3  ( )  A.x=-1   B.x=-2   C.x=-3  D.x=-6

  ( )   

试题详情

1.下列各方程中,一元一次方程是 ( )    A.x+3=2x-1    B.x+y=5-2x   

试题详情

4.解答题(每小题10分,共30分)

(16)

(17)国家规定个人发表文章,出版图书获得稿费的纳税办法是:①稿费不高于800元的不纳税 ②稿费高于800元又不高于4000元的应缴超过800元那一部份稿费的14%的税③稿费高于4000元的应缴纳全部稿费的11%的税.现在知道王老师获得一笔稿费,并缴纳个人所得税420元,问王老师这笔稿费有多少元?

(18)中学生足球赛共赛15轮,每队均赛15场,胜一场计2分,平一场计1分,负一场计0分,某中学足球队所胜场数是所负场数的2倍,结果共得19分,问这个足球队共平几场?

试题详情


同步练习册答案