题目列表(包括答案和解析)

 0  66533  66541  66547  66551  66557  66559  66563  66569  66571  66577  66583  66587  66589  66593  66599  66601  66607  66611  66613  66617  66619  66623  66625  66627  66628  66629  66631  66632  66633  66635  66637  66641  66643  66647  66649  66653  66659  66661  66667  66671  66673  66677  66683  66689  66691  66697  66701  66703  66709  66713  66719  66727  447348 

26.已知y1=   (x+2),y2=  x-1,如果y1=3y2-1,求x的值。

 

试题详情

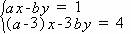
24.      -       =1    25.

试题详情

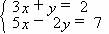
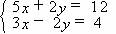
22.                                                                23.          

 

试题详情

20.2(0.3x+4)-5(0.2x-1.8)=1.  21.  (2x+1)=3.

 

试题详情

18.3x-4=2x-3.          19.(t-5)+2=3-4(t-1).

 

试题详情

17.一木工现有两根长分别为40cm和50cm的木条,他要选择第三根木条,将它们钉成一个三角形木架,则第三根木条长度的范围是_____________。

试题详情

16.某储户将25000元人民币存入银行一年,取出时扣除20%的利息所得税后,共得人民币25396元,求该储户所存储种的利率。

设_______________,则列出的方程(或方程组)是___________________。

试题详情

15.甲班有学生48人,乙班有学生44人,要使两班人数相等,如何调动?

设________________,则列出的方程(或方程组)是__________________。

试题详情

14.如果长方形的周长是20cm,长比宽多2cm,求长方形的长和宽。

设_____________,则列出的方程(或方程组)是_____________________。

试题详情

13.如果甲数比乙数的  少5,甲数与乙数的和为65,求乙数。

设____________________,则列出的方程(或方程组)是________________。

试题详情


同步练习册答案