题目列表(包括答案和解析)

 0  66532  66540  66546  66550  66556  66558  66562  66568  66570  66576  66582  66586  66588  66592  66598  66600  66606  66610  66612  66616  66618  66622  66624  66626  66627  66628  66630  66631  66632  66634  66636  66640  66642  66646  66648  66652  66658  66660  66666  66670  66672  66676  66682  66688  66690  66696  66700  66702  66708  66712  66718  66726  447348 

12.如果单项式2xa+bya-b与   x2y4是同类项,那么a=____,b=_____。

 

试题详情

11.在等式y=kx+b中,当x=0时,y=-1;当x=1时,y=2,则k=_________,b=____________。

 

试题详情

10.如果     +(x+2y)2=0,则x=_______,y=_______。

试题详情

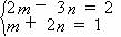
9.如果             ,那么3m-n+3=___________。

试题详情

8.在方程    x+2y=6中,用含x的代数式表示y,则y=___________。

试题详情

7.你最想给你的数学老师提出的建议是:________________

________________________________________________________.

试题详情

6.如图,下列结论中,错误的是(    )。

(A)∠1+∠2=180°-∠3  (B)∠1+∠2=102° 

(C)∠1小于102°      (D)∠3大于102°

试题详情

5.某商品的原价x元降价12%后的售价为176元,列出的方程是(   )。

(A)12%x=176       (B)x=176×12%  

(C)(1-12%)x=176    (D)(1+12%)x=176

试题详情

4.我国股市交易中,每买、卖一次需付交易款的千分之七点五作为交易费用。某投资者以每股10元的价格买入某股票1000股,当该股票涨到12元时全部卖出,该投资者实际盈利为(    )。

(A)1835元(B)1910元 (C)1925元  (D)2000元

试题详情

3.研究下面解方程1+4(2x-3)=5x-(1-3x)的过程;

去括号,得1+8x-12=5x-1-3x.………………………………………①

移项,得8x+5x+3x=-1-1+12.………………………………………②

合并同类项,得10x=10.……………………………………………………③

系数化为1,得x=1.………………………………………………………④

对于上面的解法,你认为(   )。

(A)完全正确           (B)变形错误的是①

(C)变形错误的是②        (D)变形错误的是③

试题详情


同步练习册答案