题目列表(包括答案和解析)

 0  68141  68149  68155  68159  68165  68167  68171  68177  68179  68185  68191  68195  68197  68201  68207  68209  68215  68219  68221  68225  68227  68231  68233  68235  68236  68237  68239  68240  68241  68243  68245  68249  68251  68255  68257  68261  68267  68269  68275  68279  68281  68285  68291  68297  68299  68305  68309  68311  68317  68321  68327  68335  447348 

28.若关于xy的方程组的解满足方程2x+3y=6,那么k的值为(   )

A.-   B.   C.-   D.-

试题详情

27.在一次小组竞赛中,遇到了这样的情况:如果每组7人,就会余3人;如果每组8人,就会少5人.问竞赛人数和小组的组数各是多少?若设人数为x,组数为y,根据题意,可列方程组( ).

试题详情

26.若实数满足(x+y+2)(x+y-1)=0,则x+y的值为(    )

A.1    B.-2    C. 2或-1    D.-2或1

试题详情

25.方程组的解是(    )

 A.  B.  C.     D.

试题详情

24.若方程组的解xy 的值相等,则a 的值为(   )

A.-4   B.4   C.2   D.1

试题详情

23.三元一次方程组的解是(   )

A.   B.   C.   D.

试题详情

22.已知方程组的解是,那么mn 的值为(   )

A.   B.   C.   D.

试题详情

21.已知2 xb+5y3a与-4 x2ay24b是同类项,则ba的值为(   )

A.2   B.-2   C.1   D.-1

试题详情

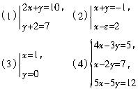
20.已知下列方程组:(1),(2),(3),(4)

其中属于二元一次方程组的个数为(   )

A.1   B.2   C.3   D.4

试题详情

19.已知方程组

其中正确的说法是( )

A.只有(1)、(3)是二元一次方程组

B.只有(1)、(4)是二元一次方程组

C.只有(2)、(3)是二元一次方程组

D.只有(2)不是二元一次方程组

试题详情


同步练习册答案