题目列表(包括答案和解析)

 0  70148  70156  70162  70166  70172  70174  70178  70184  70186  70192  70198  70202  70204  70208  70214  70216  70222  70226  70228  70232  70234  70238  70240  70242  70243  70244  70246  70247  70248  70250  70252  70256  70258  70262  70264  70268  70274  70276  70282  70286  70288  70292  70298  70304  70306  70312  70316  70318  70324  70328  70334  70342  447348 

12.一对夫妇现在年龄的和是其子女年龄和的6倍,他们两年前年龄和是子女两年前年龄和的10倍,6年后他们的年龄和是子女6年后年龄和的3倍,问这对夫妇共有多少个子女?

试题详情

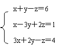
11.解方程组

 

(1)                                         (2)

试题详情

10.已知∣x-8y∣+2(4y-1)2+3∣8z-3x∣=0,求x+y+z的值.

试题详情

9.若方程组           的解x与y相等,则a的值等于(   )

A、4     B、10     C、11       D、12

试题详情

8.若x+2y+3z=10,4x+3y+2z=15,则x+y+z的值为(  )

A、2   B、3    C、4   D、5

试题详情

7.方程组         的解是(  )

 

A、      B、      C、        D、

试题详情

6.解方程组         ,若要使运算简便,消元的方法应选取(   )

A、先消去x  B、先消去y  C、先消去z  D、以上说法都不对

 

试题详情

5.已知           ,则x∶y∶z=___________.

 

试题详情

4.已知代数式ax2+bx+c,当x=-1时,其值为4;当x=1时,其值为8;当x=2时,其值为25;则当x=3时,其值为_______.

试题详情

3.解方程组         ,则x=_____,y=______,z=_______.

试题详情


同步练习册答案