题目列表(包括答案和解析)

 0  74229  74237  74243  74247  74253  74255  74259  74265  74267  74273  74279  74283  74285  74289  74295  74297  74303  74307  74309  74313  74315  74319  74321  74323  74324  74325  74327  74328  74329  74331  74333  74337  74339  74343  74345  74349  74355  74357  74363  74367  74369  74373  74379  74385  74387  74393  74397  74399  74405  74409  74415  74423  447348 

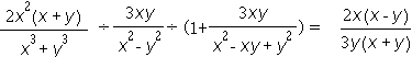
11. ( 3分) 判断正误.

计算: 

(  )

试题详情

10. ( 2分)

判断正误:

  =x2-y2 

(  )

试题详情

9. ( 2分) 判断正误:

(  )

试题详情

8. ( 2分) 判断正误:

计算:

(  )

试题详情

7. ( 2分) 判断正误:

当a≠b时, 方程的解是x=a-b

(  )

试题详情

6. ( 2分) 判断正误:

(  )

试题详情

5. ( 2分) 判断正误:

(  )

试题详情

4. ( 2分) 判断正误:

已知: 

(  )

试题详情

3. ( 2分) 判断正误:

方程||=3的解是x=-4, x=

(  )

试题详情

2. ( 2分) 判断正误:

x=-4是方程的解

(  )

试题详情


同步练习册答案