题目列表(包括答案和解析)

 0  76043  76051  76057  76061  76067  76069  76073  76079  76081  76087  76093  76097  76099  76103  76109  76111  76117  76121  76123  76127  76129  76133  76135  76137  76138  76139  76141  76142  76143  76145  76147  76151  76153  76157  76159  76163  76169  76171  76177  76181  76183  76187  76193  76199  76201  76207  76211  76213  76219  76223  76229  76237  447348 

4、如果一个等腰三角形的一个角为120º,则这个三角形的顶角为(    )

  A、120º    B、30º    C、120º或30º    D、90º

试题详情

3、数据0、1、2、3、x的平均数是2,则这组数据的标准差是  (   )

A、2    B、     C、10    D、    

试题详情

2、右边几何体的主视图是(   ).

 

试题详情

1、已知:如图,l1l2,∠1=50°, 则∠2的度数是(  )

A.135°   B.130°   C.50°    D.40°

试题详情

16. 观察下列单项式:

(1)  计算一下这里任一个单项式与前面的单项式的商,你有什么发现?

(2)  根据你发现的规律写出第10个单项式.

试题详情

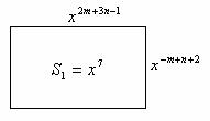
15. 公园里两片草地的尺寸及面积分别如图所示,由题意试列出方程组并且求出的值.

试题详情

14. 先化简,再求值:,其中

试题详情

13. 计算:

试题详情

12. 计算:

试题详情

11. 计算:

试题详情


同步练习册答案