0  110543  110551  110557  110561  110567  110569  110573  110579  110581  110587  110593  110597  110599  110603  110609  110611  110617  110621  110623  110627  110629  110633  110635  110637  110638  110639  110641  110642  110643  110645  110647  110651  110653  110657  110659  110663  110669  110671  110677  110681  110683  110687  110693  110699  110701  110707  110711  110713  110719  110723  110729  110737  447090 

(1)子弹的质量。

试题详情

24.(19分)一质量为M=1kg的小车上固定有一质量为,宽、电阻的100匝的矩形线圈,一起静止在光滑水平面上,现有一质量为的子弹以的水平速度射入小车中,并随小车线圈一起进入一与线圈平面垂直、磁感应强度B=1.0T的水平匀强磁场中如甲图,小车运动过程中的图像如乙图。求:

试题详情

(3)若汽车加速过程中的位移为52.5m,那么这一加速过程时间是多久?

试题详情

(2)汽车在时刻的加速度为多大?

试题详情

23.(16分)一辆汽车在平直的公路上运动,下图是汽车以速度开始以恒定的功率继续运动的过程中牵引力随时间的变化图像。已知汽车总质量为4.0×103kg,运动中所受阻力大小恒定。试求:

(1)汽车的最大速度为多大?

试题详情

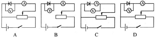
(3)(5分)请画出描绘二极管反向特性曲线的电路图,并在图中明确表示出选用电流表、电压表的符号。

试题详情

电流表A2(量程6mA,内阻约1

开关S、导线若干

(1)(6分)由厂家提供的二极管的伏安特性曲线可知

A.二极管的电阻随两端电压大小的增大而增大

B.二极管的电阻随两端电压大小的增大而减小

C.给二极管两端加大小相同的电压时,正向电阻比反向电阻小

D.因不知曲线的方程,所以无法根据图像所给的数据计算曲线任意一点对应的电阻值

(2)(6分)为描绘该二极管的正向特性曲线,电流表应选              ,电压表应选                            ,下图中给出了几种电路图,其中正确的是

试题详情

电流表A1(量程30mA,内阻约50

试题详情

电压表V2(量程30V,内阻约50k

试题详情


同步练习册答案