0  119975  119983  119989  119993  119999  120001  120005  120011  120013  120019  120025  120029  120031  120035  120041  120043  120049  120053  120055  120059  120061  120065  120067  120069  120070  120071  120073  120074  120075  120077  120079  120083  120085  120089  120091  120095  120101  120103  120109  120113  120115  120119  120125  120131  120133  120139  120143  120145  120151  120155  120161  120169  447090 

27.无

试题详情

26.解:(1)金属杆在恒定外力F作用下,沿下层导轨以加速度a做匀加速直线运动,根据运动学公式有vP2=2as……………………………………………………………………………1分

vP=4s=4R代入,可解得a=2g…………………………………………………1分

根据牛顿第二定律,金属杆沿下层导轨运动时,在竖直方向和水平方向分别有

mgNFsinθ=0,FcosθμN=ma………………………………………………………2分

解得 F=……………………………………………………………………1分

(2)设金属杆从PP′位置运动到轨道最高位置MM′时的速度为v1

此过程根据机械能守恒定律有………………………………2分

解得 …………………………………………………………………………1分

设金属杆在MM′位置所受轨道压力为FM

根据牛顿第二定律有…………………………………………………2分

解得  ………………………………………………………………………1分

由牛顿第三定律可知,金属杆对轨道压力的大小………………………1分

(3)经历一段极短的时间Δt1,在安培力F1作用下杆的速度由v1减小到v2,接着在安培力F2作用下经历一段极短的时间Δt2,杆的速度由v2减小到v3,再接着在安培力F3作用下经历一段极短的时间Δt3,杆的速度由v3减小到v4,……再接着在安培力Fn作用下经历一段极短的时间Δtn,杆的速度由vn减小到vn+1

由动量定理…………………………………………………………1分

……

……………………………………………………………………1分

在每一段极短的时间内,杆的速度、杆上的电动势和安培力都可认为是不变的,

则Δt1时间内,安培力    ………………………………1分

则Δt2时间内,安培力   

则Δt3时间内,安培力    ………………………………1分

……

冲量累加………………………………1分

…………………………………1分

…………………………………………………………………………………1分

解得…………………………………………………………………1分

试题详情

25.

 

 

 

 

试题详情

24.

 

 

 

 

 

 

 

试题详情

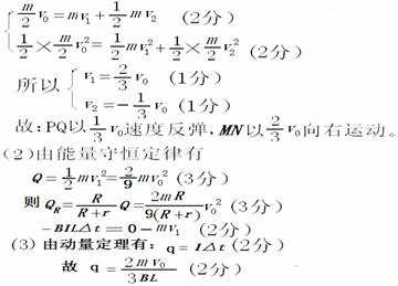
23. 解:(1)线圈切割磁感线的速度v0=10m/s,感应电动势 E=Blv0=1×0.05×10=0.5V(1分)

由闭合电路欧姆定律得线圈中电流 A      (2分)

由楞次定律知线圈中感应电流方向为 MQPNM   (1分)

(2)线圈进入磁场和离开磁场时克服安培力做功,动能转化成电能,产生的电热

(J)(4分)

(3)设小车完全进入磁场后速度为v

在小车进入磁场从t时刻到t+⊿t时刻(⊿t→0)过程中  (1分)

求和得  (1分)

同理得    而 (1分)

又线圈进入和穿出磁场过程中磁通量的变化量相同,因而有 qq(1分)

故得  v0v = vv 1  即 v = = 6 m/s (1分)

所以,小车进入磁场过程中线圈克服安培力做功

(J)(1分)

试题详情

22.无

试题详情

21.解:(1)ab边刚进入时,线圈产生的感应电动势为

EB·2l·10v  ( 1分)

线圈中电流为 I (1 分)

安培力为FB·I·2l   (1 分)

克服安培力做功的功率为PF·10 v (3分)

(2)由能量守恒,线圈中产生的焦耳热为

Q =m[ (10v )2— (9v )2] =  (4分)

(3)磁场区域1   ---------1分

------------------2分

同理可得:

   ------------------------3分

试题详情

20.解析:(1)棒ab在两磁场中切割磁场产生的电动势E=BLv=10 V.则棒ab中的感应电流大小均为

流过导体棒ab的电流随时间变化规律如图所示.

(2)电流流过ab棒的电流周期为T=6×10-3s,由,得。[

试题详情

19.(l)磁场沿O x方向运动,v1v2,等效金属框相对磁场向-方向运动。由于此时刻MNPQ边所在处的磁感就强度大小均为B0且方向相反

金属框产生的电动势 ①       ②             电流的方向根据右手定则可知为NMQPN      

(2)设经过时间t,金属框MNPQ所在处磁场强度大小均为B

   ,    又   得:    

得到电流瞬时值的表达式是:

。   ④

④式是正弦交流电流,其交流电最大值为         ⑤     其交流电有效值为       ⑥          而      ⑦               

矩形金属线框的发热功率为   Q=I2Rt       ⑧              

     ⑨        

(3)为使列车得最大驱动力,MNPQ应位于磁场中磁感应强度同为最大值且反向处,这会使得金属框所围面积的磁通量变化率最大,导致框中电流最强,也会使得金属框长边中电流受到的安培力最大。

根据安培力公式,MN边所受的安培力FMNB0IL

PQ边所受的安培力FPQB0IL

根据左手定则,MNPQ边所受的安培力同向,此时列车驱动力的大小F

FFMNFPQ=2 B0IL    ⑩        (2分)

由③⑩式联立解得   ⑾     (1分)

驱动力瞬时值表达式是: 

驱动力功率的瞬时值:

所以:

 

图(3分)

 

 

 

试题详情

18.解:(1)MN滑行到C.E两点时,在回路中的长度等于L,此时回路中的感应电动势

由于MN的电阻忽略不计,CD和DE的电阻相等,

所以C.D两点电势差的大小

  (2)设经过时间t运动到如图所示位置,此时杆在回路中的长度

  电动势  (6分)

  (3)在第(2)题图示位置时,回路中的电阻

回路中的电流   即回路中的电流为一常量。

此时安培力的大小

由于MN在CDE上滑动时的位移   所以   (5分)

所以安培力的大小随位移变化的图线(F-x)如图所示

所以在MN在CDE上的整个滑行过程中,安培力所做的功

根据能量的转化和守恒定律回路中产生的焦耳热Q等于安培力所做的功,即 (5分)

 

试题详情


同步练习册答案