0  119914  119922  119928  119932  119938  119940  119944  119950  119952  119958  119964  119968  119970  119974  119980  119982  119988  119992  119994  119998  120000  120004  120006  120008  120009  120010  120012  120013  120014  120016  120018  120022  120024  120028  120030  120034  120040  120042  120048  120052  120054  120058  120064  120070  120072  120078  120082  120084  120090  120094  120100  120108  447090 

15、在抛体运动中,若不计空气阻力,下列叙述错误的是(  )

A.物体克服重力所做的功等于该物体重力势能的增量

B.物体的动能随高度的增加而均匀减小

C.若抛出的两物体动能相等,则抛出时质量大的物体速率较小

D.空中运动的过程物体机械能守恒,但一定不等于零

 

试题详情

14、关于功率概念,下列说法中正确的是    (    )

A. 功率是描述物体做功快慢的物理量

B. 力对物体做的功越多,力做功的功率越大

C.从公式P=Fv可知,汽车的发动机功率可以随速度的不断增大而提高

D.当轮船航行时,如果牵引力与阻力相等时,合外力为零,所以此时发动机的实际功率为零

 

试题详情

13、关于第一宇宙速度,下面说法中错误的是    (    )

A.它是人造地球卫星绕地球飞行的最小速度

B.它是近地圆形轨道上人造地球卫星的运行速度

C.它是能使卫星进入近地圆形轨道的最小发射速度

D.它是卫星在椭圆轨道上运行时在近地点的速度

 

试题详情

12、物体在做下列哪些运动时机械能一定不守恒(  )

A.自由落体运动

B.竖直向上运动

C.沿斜面向下匀速运动

D.沿光滑的竖直圆环轨道的内壁做圆周运动

 

试题详情

11、对于做变速运动的物体而言,下列说法正确的是(  )

A.若改变物体速度的仅是重力,则物体的机械能保持不变

B.若改变物体的速度的不是重力、弹力,则物体的机械能一定改变

C.若改变物体速度的是摩擦力,物体的机械能一定改变

D.在物体速度增大的过程中,其机械能可能反而减小

 

试题详情

10、用长短不同、材料相同的同样粗细的绳子各拴着一个质量相同的小球在光滑水平面上做匀速圆周运动,则(      )

A.两个小球以相同的线速度运动时,长绳易断

B.两个小球以相同的角速度运动时,短绳易断

C.两个小球以相同的角速度运动时,长绳易断

D.以上说法都不对

 

试题详情

9、物体做曲线运动的条件为(   )

A.物体运动的初速度不为零

B. 物体所受的合外力的方向与加速度的方向不在同一条直线上

C. 物体所受的合外力为变力

D. 物体所受的合外力的方向与速度的方向不在同一条直线上

 

试题详情

8、用跨过定滑轮的绳把湖中小船拉靠岸,如图所示,已知拉绳的速度v不变,则船速     (    )

A.不变   B.逐渐增大  C.逐渐减小    D.先增大后减小

 

试题详情

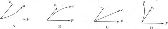
7、若已知物体运动的初速度v0的方向及它受到的恒定的合外力F的方向,则下图可能正确的运动轨迹是(    )

 

试题详情

6、人造卫星绕地球做匀速圆周运动,其轨道半径为R,线速度为v,周期为T,若要使卫星的周期变为2T,可能的方法是(     )

A.R不变,使线速度变为v/2 

B.v不变,使轨道半径变为2R

C.轨道半径变为R        

D.无法实现

 

试题详情


同步练习册答案