0  123459  123467  123473  123477  123483  123485  123489  123495  123497  123503  123509  123513  123515  123519  123525  123527  123533  123537  123539  123543  123545  123549  123551  123553  123554  123555  123557  123558  123559  123561  123563  123567  123569  123573  123575  123579  123585  123587  123593  123597  123599  123603  123609  123615  123617  123623  123627  123629  123635  123639  123645  123653  447090 

1、我们观察到水中的鱼和水中的云,他们形成的原因,前者是由于光的      而形成的   像(选填“虚”或“实”);后者是由于光的      而形成的     像(选填“虚”或“实”)。

试题详情

10、我们生活在一个充满声音的世界中,关于声音的下列说法正确的是

    A.声音是由物体的振动产生的

B.声音是一种波,它可以在真空中传播

C.我们能够辨别不同乐器发出的声音,是因为它们的响度不同

D.我们常说声音“震耳欲聋”是指它的音调很高

第Ⅱ卷 非选择题(50分)

试题详情

9、下列说法中,属于一对平衡力的是

    A.人推墙的力和墙对人的力

B.人推墙的力和墙受到的推力

C.站在水平地面上的人,人受到的重力和人对地面的压力

D.站在水平地面上的人,人受到的重力和地面对人的支持力

试题详情

8、关于物体的惯性,下列说法正确的是

    A.足球射入球门时才具有惯性

B.赛车能很快停下来,说明赛车没有惯性

C.跳远运动员起跳前要助跑,是为了获得惯性

D.百米赛跑运动员到达终点不能立即停下来,是因为运动员具有惯性

试题详情

7、把重为5N、体积为0.4dm3的物体投入水中,若不计水的阻力,当物体静止时,下列说法中正确的是(g取10N/kg)

    A.物体漂浮,                 B.物体漂浮,

C.物体悬浮,                 D.物体沉底,

试题详情

6、一凸透镜的焦距为10cm,将点燃的蜡烛放在凸透镜前40cm出,则烛焰通过透镜所成的像是

    A.倒立缩小的实像                     B.倒立放大的实像

C.倒立等大的实像                     D.正立放大的虚像

试题详情

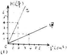
5、图1是甲、乙两种物质的质量和体积的关系图像,下列说法正确的是

    A.                         B.

C.若,则            D.若,则

试题详情

4、在下列一些生活场景中,利用了光在同种均匀介质中沿直线传播特点的是

    A.在树荫下“躲太阳”                 B.用放大镜观察细小物体

C.对着平面镜梳妆                     D.站在岸边观赏水中的游鱼

试题详情

3、为探究物体的浮沉和有关因素的关系,小刚将一个鲜鸡蛋先放入一个装有半杯清水的玻璃杯中,鸡蛋沉入水杯底,然后向杯中逐渐加盐,在此过程中,下列分析正确的是

    A.鸡蛋所受浮力不变                   B.鸡蛋所受的重力变大

C.杯底所受的压强不变                 D.鸡蛋可能会慢慢上浮

试题详情

2、一辆汽车在平直的公路上向东快速行驶,一个人在该公路的便道上向东散步,如果以汽车为参照物,则人

    A.向西运动        B.向东运动         C.静止不动        D.无法确定

试题详情


同步练习册答案