0  140775  140783  140789  140793  140799  140801  140805  140811  140813  140819  140825  140829  140831  140835  140841  140843  140849  140853  140855  140859  140861  140865  140867  140869  140870  140871  140873  140874  140875  140877  140879  140883  140885  140889  140891  140895  140901  140903  140909  140913  140915  140919  140925  140931  140933  140939  140943  140945  140951  140955  140961  140969  447090 

3.用“○”表示氧原子,用“●”表示氢原子,则下列粒子中能保持的化学性质的是(  )

试题详情

2.下列变化过程中一定有化学变化的是(  )

   ①鲜牛奶变酸牛奶       ② 将发面团蒸成馒头

③桔子榨成桔子汁       ④ 葡萄变成葡萄酒

  A.①②③     B.②③④     C.①②④     D.①③④

试题详情

1.下列各项内容中,属于化学科研究内容的是 (  )

A.培育新品种,增加农作物产量        B.利用指南针确定航海方向

C.综合利用石油生产优良人造纤维    D.设计新程序、开发电脑新功能

试题详情

30.已知 Na2CO3的水溶液呈碱性,在一烧杯中盛有20.4g Na2CO3和NaCl 组成的固体混合物。向其中逐渐滴加溶质质量分数为10%的稀盐酸。放出气体的总质量与所滴入稀盐酸的质量关系曲线如下图所示,请根据题意回答问题:

(1)当滴加稀盐酸至图中B点时,烧杯中溶液的pH  7(填>、=、<)。

(2)当滴加稀盐酸至图中A点时,烧杯中为不饱和溶液(常温),通过计算求出其中溶质的质量分数。(计算结果保留一位小数)

试题详情

29.某化工厂生产的纯碱产品中常含有少量氯化钠,工厂的化验员对每批产品进行检测,标出各种成份后才能投放市场。某厂化验员取取样品44g于烧杯中加水将其溶解,然后分几次逐滴加入溶质质量分数为20%的稀盐酸,并不断搅拌,称量,将得到的有关数据记录如下(注:加盐酸时首先发生反应是:Na2CO3 + HCl = NaHCO3 + NaCl ,然后是

NaHCO3 + HCl = NaCl + CO2↑+ H2O)

加入稀盐酸质量/g
0
73
74
146
147
烧杯中溶液质量/g
200
273
273.76
328.4
329.4

 请你根据题给信息和表中数据,回答下列问题:

(1)加入    g稀盐酸开始产生二氧化碳,最多产生二氧化碳    g。

(2)计算出44g样品中各成份的质量。

试题详情

28.小刚同学在实验室发现一瓶长期存放的氢氧化钙固体。对此他提出一个问题:这瓶氢氧化钙固体是否变质?

小刚认为氢氧化钙可能变质所依据的化学原理是(用化学方程式表示):      ___;

[猜想]①该固体未变质;②该固体部分变质;③该固体完全变质。

[设计实验]

操作步骤
现象
结论
(1)____________________
_____________________
_________________________
证明该固体已经发生变质
(2)另取少量瓶中的白色粉未加入水中后,再取少许上层清液加入无色酚酞试液
_________________________
证明该固体未完全变质

[结论]通过现象分析,小刚确定猜想②成立。

[反思] 我对该固体有一个想继续探究的问题:___________________________________

试题详情

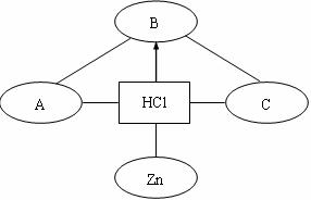
26.构建知识网络是一种重要的学习方法。下图是关于盐酸化学性质的知识网络,“--”表示相连的两种物质能发生反应,“”表示一种物质转化成另一种物质,A、C属于不同类别的化合物。完善这个知识网络:

(1)写出A、B、C的化学式:A     ;B    ;C      

(2)根据自己得出的知识网络写出一个复分解反应化学方程式:         

试题详情

25.KNO3、NaNO2(亚硝酸钠)、NaCl的溶解度曲线如下图所示。据图回答:

(1)40℃时,三种物质溶解度由大到小的顺序是(用化学式排序)        

(2)在       ℃时,KNO3和NaNO2的溶解度相等;

(3)分离KNO3和NaCl的混合物,最好采用的方法是:         

试题详情

24.某校实验室有一批生锈的铁架台,该校初四(1)班化学兴趣小组设计了一个铁架台翻新“三步骤”方案:①用砂纸打磨铁架台;②用适量稀酸清洗,水洗,凉干;③防锈处理。请回答:

(1)①的目的是      

(2)②中所用的稀酸是     ,其除锈的化学方程式为:           

试题详情


同步练习册答案