0  141389  141397  141403  141407  141413  141415  141419  141425  141427  141433  141439  141443  141445  141449  141455  141457  141463  141467  141469  141473  141475  141479  141481  141483  141484  141485  141487  141488  141489  141491  141493  141497  141499  141503  141505  141509  141515  141517  141523  141527  141529  141533  141539  141545  141547  141553  141557  141559  141565  141569  141575  141583  447090 

21.(7分)湛江某中学学生到野外郊游,请根据题目给出的信息填空。

(1)同学们带来了许多调味品来大展厨艺,有食盐、小苏打、蔗糖、食醋等,在这些调味品中,可用来治疗胃酸过多的是       ;可用作甜味剂的是      ;可用来除铁锈的是    

   (2)若不小心被蚊虫叮咬(蚊虫能分泌出蚁酸),下列物质可用于涂抹以减轻疼痛的是________(填字母)A.食醋(pH<7) B.食盐水(pH=7) C.肥皂水(pH>7);小明想用pH试纸测定食醋的pH值,他将pH试纸用水润湿后,用筷子将食醋滴在pH试纸上,他测得的pH值将比实际结果    (填“偏大”、“偏小”或“相等”)。

   (3)同学们用捡来的枯树枝来做饭,从燃烧的三个条件来看:树枝是可燃物,还要具备的两个条件是                     。

  注意:[将各小题答案从左到右的顺序填写到答题卡对应题号的横线上,并用句号隔开。]

试题详情

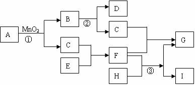
20.(9分)A-I是中学常见的几种化学物质,其中C、D、E、I是单质,E和H是黑色固体,F为无色有毒气体,I为红色固体,请你根据下图填写。

(1)填化学式:A        D       G       

(2)图中②的反应条件是      ,从能量的角度来看是      转化为化学能。

(3)图中①化学方程式为                         ;

图中③化学方程式为                          

注意:[将各小题答案从左到右的顺序填写到答题卡对应题号的横线上,并用句号隔开。]

试题详情

19.(6分)元素周期表是同学们学习化学的重要工具。请根据镁元素的“身份证”(见图)

在下图的横线上填写有关铝元素的6信息。

注意:[将答案从左到右的顺序填写到答题卡对应题号的横线上,并用句号隔开。]

试题详情

18.(5分)随意丢弃废旧干电池会造成严重的环境污染,而废旧干电池中许多物质都可以再回收利用。请根据下图回答下列问题:

(1)图示中的物质属于非金属单质的是     ,属于氧化物的是     (均写化学式)。

  (2)干电池用石墨和锌皮做电极,是利用了它们的    性。

  (3)图示中能与稀硫酸反应且生成无色气体的物质是              (填化学式)。

  (4)氯化铵溶液可用来浇花,它能为植物提供的营养元素是          。

注意:[将第(1)小题答案从左到右的顺序填写到答题卡对应题号的横线上,并用句号隔开;其他小题的答案填写在对应题号的横线上。]

试题详情

17.( 4分)某校课外活动小组做了下列两组对比试验,请根据实验回答有关问题:

(1)实验①中试管内液面上升较高的是       (填字母);实验②中产生气泡较快的是        (填字母)。

(2)实验①中试管内液面上升较高的反应的化学方程式是:             

 注意:[将第(1)小题答案按从左到右的顺序填写到答题卡左边的横线上,并用句号隔开;第(2)小题的答案填写在右边的横线上。]

试题详情

16.(4分)请在横线上用恰当的化学用语表示:

(1)Fe3O4的名称            (2)硫酸钠的化学式      

(3)3个磷原子             (4)镁离子符号          

试题详情

15.除去下列物质中的杂质(括号内为杂质),所选用的试剂及操作方法均正确的一组是

选项
待提纯的物质
选用的试剂
操作的方法
A
CuSO4溶液(H2SO4溶液)
过量的氢氧化钠溶液
过滤
B
HNO3溶液(HCl溶液)
过量的AgNO3溶液
过滤
C
Cu(CuO)
过量的稀盐酸
溶解、过滤 
D
CO2(CO)
氧气
点燃

试题详情

14.近段时期,我国准备了大量的达菲作为应对甲型H1N1流感的储备用药。已知达菲的化学式为C16H28N2O4·H3PO4。下列关于达菲的叙述中正确的是

A.达菲由五种元素组成

B.达菲分子中C、N、O、P 的原子个数比是8∶1∶4∶1

C.达菲由16个碳原子、28个氢原子、1个四氧化二氮分子和一个磷酸分子组成

D.使用达菲后就没有必要再研发新的抗流感药物了

试题详情

13.2008年9月,湛江被评为广东省优秀旅游城市之一,我们更应该注意环境的保护,下列环境问题与所对应的物质相关的是

A.臭氧层空洞--氧气          B.光化学污染--氢气

C.温室效应--二氧化碳         D.酸雨--二氧化硫

试题详情

12.下列知识整理的内容完全正确的一组是

 
A
性质与用途
 
B
生活常识
乙醇有可燃性--用作燃料
活性炭有吸附性--用作净水
防煤气中毒--室内放一盆水
人体缺乏维生素A--引起夜盲症
 
C
化学反应类型
 
D
化学中常见的“三”
CO还原氧化铁--置换反应
盐酸和石灰水混合--中和反应
三种可燃性气体--H2、CO、CH4
三种可加热仪器--试管、量筒、蒸发皿

试题详情


同步练习册答案