0  141378  141386  141392  141396  141402  141404  141408  141414  141416  141422  141428  141432  141434  141438  141444  141446  141452  141456  141458  141462  141464  141468  141470  141472  141473  141474  141476  141477  141478  141480  141482  141486  141488  141492  141494  141498  141504  141506  141512  141516  141518  141522  141528  141534  141536  141542  141546  141548  141554  141558  141564  141572  447090 

6.水是生命之源,我们应该了解水、爱护水资源。下列说法错误的是

A.为使水中的悬浮杂质沉降,可在水中加人适量的明矾

B.自来水厂常用ClO2消毒,ClO2中氯元素的化合价为+2

C.通过过滤的方法可以将不溶于水的固体杂质与水分离开来

D.5mL水和5mL酒精混合,溶液体积小于10mL,说明分子间有空隙

试题详情

5.对实验现象的观察和分析,有助于我们获得化学知识并学会科学探究的方法。下列对实验现象分析正确的是

A.碳酸盐与硫酸反应放出气体,所以与硫酸反应放出气体的物质一定是碳酸盐

B.硝酸钾溶于水会使溶液温度降低,所以能使溶液温度降低的物质一定是硝酸钾

C.淀粉遇到碘水呈现蓝色,所以与碘水作用呈现蓝色的物质中一定含有淀粉

D.氯化钠能使溶液的凝固点降低,所以能使溶液的凝固点降低的物质一定是氯化钠

试题详情

4.自然科学的发展使我们的生活变得丰富多彩。通过化学的学习,你觉得下列情况中不可能实现的是

A.通过化学反应使水直接变成汽油   B.用点燃闻气味法区分聚乙烯和聚氯乙烯

C.用人工的方法合成结晶牛胰岛素   D.用高温煅烧法除去氧化钙中的碳酸钙

试题详情

3.“达菲”是治疗甲型H1N1流感的一种药物,而合成达菲的主要原料莽草酸(化学式为C7H10O5)存在于我国盛产的八角茴香中。下列说法正确的是

A.莽草酸由22个原子构成           B.莽草酸中碳、氢元素质量比为7:10

C.莽草酸属于有机高分子化合物      D.莽草酸完全燃烧后的产物为CO2和H2O

试题详情

2.化学对人类生活和社会发展做出了巨大贡献。下列对某一主题知识归纳都正确的一组是

A.生活常识
B.物质鉴别
洗涤剂洗油污一一乳化作用
人体缺锌元素一一甲状腺肿大
食盐与亚硝酸钠一一品尝
羊毛线与棉线一一灼烧
C.安全常识
D.环境保护
油锅不慎着火一一可以盖上锅盖灭火
火灾烟很大时一一用湿毛巾捂住口鼻
减少白色污染一一少使用塑料制品
减少酸雨污染一一不使用化石燃料

试题详情

1.利用化学知识对下列说法进行判断,其中正确的是

A.咀嚼米饭时会出现甜味,这一过程属于物理变化

B.绿色植物合成葡萄糖的过程中将太阳能转化为化学能

C.要提高澄清石灰水的溶质质量分数,可以升高该溶液的温度

D.向鸡蛋清中加入饱和硫酸铵溶液出现白色沉淀是化学变化

试题详情

29.(7分) 某班一次社会实践活动是到连云港碱厂参观,该厂主要产品之一是小苏打(碳酸氢钠)。参观结束,同学们带回一些化验室里废弃的小苏打样品,来测定其中碳酸氢钠的质量分数(假设该样品中只含有氯化钠一种杂质)。取样品9.3 g逐滴加入稀盐酸,生成CO2气体的质量与滴加稀盐酸的质量关系如下图所示,求:(计算结果用百分数表示,保留到小数点后一位数字)

(1)样品中碳酸氢钠的质量分数。

(2)恰好完全反应时,所得溶液中溶质的质量分数。

试题详情

28.(12分) 某化学兴趣小组有一次活动的内容是:对一包干燥的红色粉末组成进行探究。请你参与并回答有关问题。

[教师提醒]它由Cu 、Fe2O3 、Fe(OH)3三种固体中的一种或两种组成。

[提出猜想]红色粉末可能的组成有:

①只有Cu         ②只有Fe2O3   

③只有 Fe(OH)3        ④是Fe2O3 、Fe(OH)3的混合物

⑤是Cu 、Fe2O3的混合物  ⑥是Cu 、Fe(OH)3的混合物

[资料获悉](1)2Fe(OH)3Fe2O3 +3H2O  

(2)白色无水CuSO4遇水变蓝

(3)Cu在FeCl3溶液中发生反应:2FeCl3+Cu==2FeCl2+CuCl2

[探究思路]利用物质的性质不同设计实验加以甄别,分别探究其中是否含有Fe(OH)3 、Cu等,逐步缩小范围,然后再选择适当的试剂和方法通过实验探究其组成。(装置内空气中的水蒸气、CO2忽略不计)

[实验探究]

(1)甲同学取适量红色粉末装入试管中,按图1进行实验。结果无水CuSO4没有变蓝,从而排除猜想中的   。(填猜想中的序号)

(2)在甲同学实验结论的基础上,乙同学另取少量红色粉末于试管中,滴加足量稀盐酸,振荡后观察,发现固体全部溶解,溶液变色。乙同学认为可以排除猜想中的①和⑤,而丙同学认为只能排除猜想①,你认为   的观点正确(填“乙”或“丙”)。

(3)丁同学为进一步确定红色粉末的组成,称取该粉末5.0g装入硬质玻璃管中,按图2在通风橱中进行实验。开始时缓缓通入CO气体,过一段时间后再加热使其充分反应。待反应完全后,停止加热,仍继续通CO气体直至玻璃管冷却。反应前后称量相关装置和物质的总质量,其数据如下表:

  
反应前
反应后
Ⅰ组
玻璃管和红色粉末的总质量为37.3 g
玻璃管和固体物质的总质量为36.1 g
Ⅱ组
洗气瓶和所盛溶液的总质量为180.0 g
洗气瓶和瓶中物质的总质量为183.1 g

[交流讨论]

(1)在装置A中先通CO气体的作用是   

(2)应该选择   组的实验数据计算来确定红色粉末的组成。最终计算结果表明:该红色粉末的组成是猜想中的第   组(填序号)。

(3)写出A装置中发生反应的化学方程式   ;实验中观察到A装置中的现象为  

(4)为了防止溶液倒吸,本实验停止加热前是否需要先断开A和B的连接处?   (填“需要”或“不需要”),理由是  

[反思评价] 戊同学指出:从环保角度,图2装置有严重不足之处。你认为应该如何改进?   

[拓展延伸]有同学提出丁同学上述实验中的CO还可以用H2代替,并将图2中B装置换成盛有碱石灰(生石灰和氢氧化钠固体混合物)的干燥管,来确定该红色粉末的组成,你认为是否可行?    (填“可行”或“不可行”)。

试题详情

27.(7分)今年我市九年级化学实验操作考查的方法是由考生抽签确定考题,小华同学抽到的题目是“以鸡蛋壳和稀盐酸为原料制取CO2”。小华完成该实验的部分操作过程如下图所示:

(1)小华上述操作过程中有明显错误的是    (填字母序号)。

(2)操作A中,小华松开手片刻后,看到烧杯内的导管中形成一段   ,证明装置不漏气。

(3)若要验证鸡蛋壳的主要成分CaCO3中的Ca2+,只要在反应后溶液中逐滴加入   溶液,观察到   现象即可(鸡蛋壳中的杂质不干扰反应现象)。若所加试剂正确,但实验刚开始阶段却观察不到应有的现象,则原因是  

(4)若将鸡蛋壳换为锌粒,利用上述实验中涉及到的仪器和药品可以制取另一种常见气体,该反应的化学方程式是   

试题详情

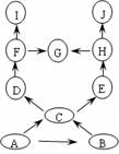
26.(9分)A-J均为初中化学中的常见物质,已知A、B的组成元素相同,B是最常用的溶剂;常温下C、E均为无刺激性气味的气体,且C为单质;A、B、D、E、J均为氧化物,J是常用的干燥剂;F、G是粗盐中含有较多的可溶性杂质,它们的阳离子是硬水中含有较多的金属离子;H、I均为白色难溶于水的盐,其中H能溶于酸,而I却不溶于酸。A-J之间的转化关系如图所示(其中“→”代表物质之间的转化关系,部分反应物、生成物和反应条件已略去)。

(1)写出下列物质的化学式:B   ;D   ;I   ;J   

(2)写出下列转化的化学反应方程式:A→C   ;  H→G   ; 判断:H→G的反应属于基本反应类型中的   反应。

试题详情


同步练习册答案