0  157757  157765  157771  157775  157781  157783  157787  157793  157795  157801  157807  157811  157813  157817  157823  157825  157831  157835  157837  157841  157843  157847  157849  157851  157852  157853  157855  157856  157857  157859  157861  157865  157867  157871  157873  157877  157883  157885  157891  157895  157897  157901  157907  157913  157915  157921  157925  157927  157933  157937  157943  157951  447090 

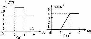
14.(10分)一物块在粗糙水平面上,受到的水平拉力F随时间t变化如图(a)所示,速度v随时间t变化如图(b)所示(g=10m/s2)。求:

(1)1秒末物块所受摩擦力f的大小。

(2)物块质量m。

(3)物块与水平面间的动摩擦因数μ。

试题详情

13.(8分)某同学用如图所示装置做探究“弹簧伸长和所受拉力关系”的实验.他先在弹簧下端挂上一个钩码,然后逐个增加钩码,测出弹簧下端指针对应所指的标尺刻度,所得数据列表如下:

钩码重G/N
1.00
2.00
3.00
4.00
5.00
标尺刻度x/10-2m
22.94
26.82
31.78
34.66
38.60

(1)根据所测数据,该同学已在坐标上描出了相应的点,如下图所示.请你在坐标上作出弹簧指针所指的标尺刻度与钩码重的关系曲线.

(2)根据关系曲线可确定:

弹簧伸长与所受拉力成        关系.这根弹簧的劲度系数为      N/m,原长为     cm。

试题详情

12、(6分)在“探究力做功与动能改变的关系”实验中,某实验小组采用如图甲所示的装置.实验步骤如下:

①把纸带的一端固定在小车的后面,另一端穿过打点计时器

②改变木板的倾角,以重力的一个分力平衡小车及纸带受到的摩擦力

③用细线将木板上的小车通过一个定滑轮与悬吊的砂桶相连

④接通电源,放开小车,让小车拖着纸带运动,打点计时器就在纸带上打下一系列的点

⑤测出s、s1、s2(如图乙所示),查得打点周期为T.

(1)判断重力的一个分力是否已与小车及纸带受到的摩擦力平衡的直接证据是_____;

(2)本实验还需直接测量的物理量是:___________________________.(并用相应的符号表示)

(3)探究结果的表达式是______________________________________.(用相应的符号表示)

试题详情

11.(4分)某同学课外研究平抛物体的运动,并将实验中测出的两物理量Q和S 数值填表如下,Q 和S 的单位相同但没有写出。(g=10m/s2)

Q
0.00
0.10
0.20
0.30
0.40
0.50
S
0.00
0.05
0.20
0.45
0.80
1.25

(1)上表中Q表示的物理量是       ;S 表示的物理量是      

(2)若上表中Q和S 用的都是国际单位制中的单位,则平抛物体的水平速度为    

试题详情

10.如图所示,将倾角为30°的斜面体置于水平地面上,一根不可伸长的轻绳两端分别系着小球A和物块B,跨过固定于斜面体顶端的光滑支点O。已知A的质量为m,B的质量为4m 现用手托住A,使OA段绳恰处于水平伸直状态(绳中无拉力),OB绳平行于斜面,此时物块B恰好静止不动。将 A由静止释放,在其下摆过程中,斜面体与物块B始终保持静止,下列判断中正确的是

A.物块B受到的摩擦力先减小后增大

B.物块B受到的摩擦力不变

C.小球A与地球组成的系统机械能守恒

D.小球A与地球组成的系统机械能不守恒

第II卷(笔答题  共60分)

试题详情

9.我国正在自主研发“北斗二号”地球卫星导航系统,此系统由中轨道、高轨道和同步卫星等组成,可将定位精度提高到“厘米”级,会在交通、气象、军事等方面发挥重要作用.已知三种卫星中,中轨道卫星离地最近,同步卫星离地最远.则下列说法中正确的是:

A.中轨道卫星的线速度大于高轨道卫星的线速度

B.中轨道卫星的角速度小于同步卫星的角速度

C.若一周期为8h的中轨道卫星,某时刻在同步卫星的正下方,则经过24h仍在该同步卫星的正下方

D.高轨道卫星的向心加速度小于同步卫星的向心加速度

试题详情

8.如图所示,地面上某区域存在着竖直向下的匀强电场,一个质量为m的带负电的小球以水平方向的初速度v0由O点射入该区域,刚好通过竖直平面中的P点,已知连线OP与初速度方向的夹角为45°,则此带电小球通过P点时的动能为

A.          B./2          C.2         D.5/2

试题详情

7.图中虚线是某一静电场中的一簇等势线,若不计重力的带电粒子从a点射入电场后恰能沿图中的实线运动,b点是其运动轨迹上的另一点,则下述判断正确的是

A.b点的电势一定高于a点

B.b点的场强一定大于a点

C.带电粒子一定带正电

D.带电粒子在b点的速率一定小于在a点的速率

试题详情

6.列车提速的一个关键技术问题是提高机车发动机的功率。已知匀速运动时,列车所受阻力与速度的平方成正比,即.设提速前速度为80 km/h,提速后速度为120 km/h,则提速前与提速后机车发动机的功率之比为 

A.               B.              C.            D.

试题详情

5.在如图所示的四种电场中,分别标记有a、b两点。其中a、b两点的电势相等,电场强度大小相等、方向也相同的是 

A.甲图:与点电荷等距的a、b两点

B.乙图:两等量异种电荷连线的中垂线上与连线等距的a、b两点

C.丙图:点电荷与带电平板形成的电场中平板上表面的a、b两点

D.丁图:匀强电场中的a、b两点

试题详情


同步练习册答案